Genome and clonal hematopoiesis stability contrasts with immune, cfDNA, mitochondrial, and telomere length changes during short duration spaceflight.

IF 5 4区 医学 Q1 MEDICINE, RESEARCH & EXPERIMENTAL
Precision Clinical Medicine Pub Date : 2024-04-08 eCollection Date: 2024-03-01 DOI:10.1093/pcmedi/pbae007
J Sebastian Garcia-Medina, Karolina Sienkiewicz, S Anand Narayanan, Eliah G Overbey, Kirill Grigorev, Krista A Ryon, Marissa Burke, Jacqueline Proszynski, Braden Tierney, Caleb M Schmidt, Nuria Mencia-Trinchant, Remi Klotz, Veronica Ortiz, Jonathan Foox, Christopher Chin, Deena Najjar, Irina Matei, Irenaeus Chan, Carlos Cruchaga, Ashley Kleinman, JangKeun Kim, Alexander Lucaci, Conor Loy, Omary Mzava, Iwijn De Vlaminck, Anvita Singaraju, Lynn E Taylor, Julian C Schmidt, Michael A Schmidt, Kelly Blease, Juan Moreno, Andrew Boddicker, Junhua Zhao, Bryan Lajoie, Andrew Altomare, Semyon Kruglyak, Shawn Levy, Min Yu, Duane C Hassane, Susan M Bailey, Kelly Bolton, Jaime Mateus, Christopher E Mason
{"title":"Genome and clonal hematopoiesis stability contrasts with immune, cfDNA, mitochondrial, and telomere length changes during short duration spaceflight.","authors":"J Sebastian Garcia-Medina, Karolina Sienkiewicz, S Anand Narayanan, Eliah G Overbey, Kirill Grigorev, Krista A Ryon, Marissa Burke, Jacqueline Proszynski, Braden Tierney, Caleb M Schmidt, Nuria Mencia-Trinchant, Remi Klotz, Veronica Ortiz, Jonathan Foox, Christopher Chin, Deena Najjar, Irina Matei, Irenaeus Chan, Carlos Cruchaga, Ashley Kleinman, JangKeun Kim, Alexander Lucaci, Conor Loy, Omary Mzava, Iwijn De Vlaminck, Anvita Singaraju, Lynn E Taylor, Julian C Schmidt, Michael A Schmidt, Kelly Blease, Juan Moreno, Andrew Boddicker, Junhua Zhao, Bryan Lajoie, Andrew Altomare, Semyon Kruglyak, Shawn Levy, Min Yu, Duane C Hassane, Susan M Bailey, Kelly Bolton, Jaime Mateus, Christopher E Mason","doi":"10.1093/pcmedi/pbae007","DOIUrl":null,"url":null,"abstract":"<p><strong>Background: </strong>The Inspiration4 (I4) mission, the first all-civilian orbital flight mission, investigated the physiological effects of short-duration spaceflight through a multi-omic approach. Despite advances, there remains much to learn about human adaptation to spaceflight's unique challenges, including microgravity, immune system perturbations, and radiation exposure.</p><p><strong>Methods: </strong>To provide a detailed genetics analysis of the mission, we collected dried blood spots pre-, during, and post-flight for DNA extraction. Telomere length was measured by quantitative PCR, while whole genome and cfDNA sequencing provided insight into genomic stability and immune adaptations. A robust bioinformatic pipeline was used for data analysis, including variant calling to assess mutational burden.</p><p><strong>Result: </strong>Telomere elongation occurred during spaceflight and shortened after return to Earth. Cell-free DNA analysis revealed increased immune cell signatures post-flight. No significant clonal hematopoiesis of indeterminate potential (CHIP) or whole-genome instability was observed. The long-term gene expression changes across immune cells suggested cellular adaptations to the space environment persisting months post-flight.</p><p><strong>Conclusion: </strong>Our findings provide valuable insights into the physiological consequences of short-duration spaceflight, with telomere dynamics and immune cell gene expression adapting to spaceflight and persisting after return to Earth. CHIP sequencing data will serve as a reference point for studying the early development of CHIP in astronauts, an understudied phenomenon as previous studies have focused on career astronauts. This study will serve as a reference point for future commercial and non-commercial spaceflight, low Earth orbit (LEO) missions, and deep-space exploration.</p>","PeriodicalId":33608,"journal":{"name":"Precision Clinical Medicine","volume":"7 1","pages":"pbae007"},"PeriodicalIF":5.0000,"publicationDate":"2024-04-08","publicationTypes":"Journal Article","fieldsOfStudy":null,"isOpenAccess":false,"openAccessPdf":"https://www.ncbi.nlm.nih.gov/pmc/articles/PMC11022651/pdf/","citationCount":"0","resultStr":null,"platform":"Semanticscholar","paperid":null,"PeriodicalName":"Precision Clinical Medicine","FirstCategoryId":"3","ListUrlMain":"https://doi.org/10.1093/pcmedi/pbae007","RegionNum":4,"RegionCategory":"医学","ArticlePicture":[],"TitleCN":null,"AbstractTextCN":null,"PMCID":null,"EPubDate":"2024/3/1 0:00:00","PubModel":"eCollection","JCR":"Q1","JCRName":"MEDICINE, RESEARCH & EXPERIMENTAL","Score":null,"Total":0}
引用次数: 0

Abstract

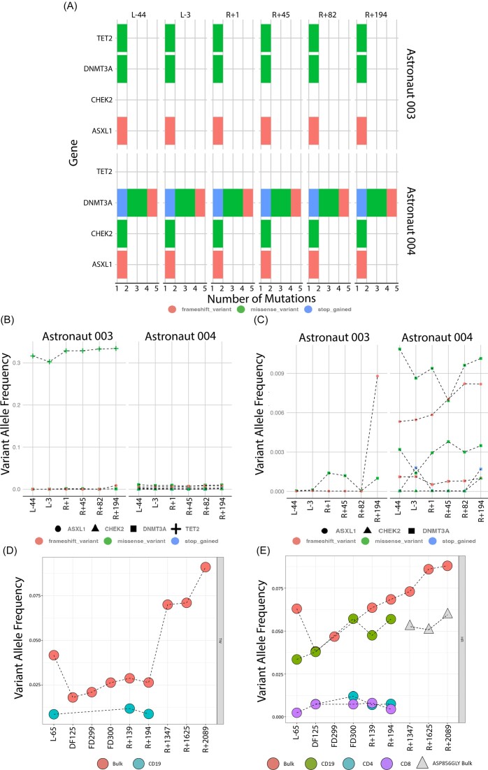
Background: The Inspiration4 (I4) mission, the first all-civilian orbital flight mission, investigated the physiological effects of short-duration spaceflight through a multi-omic approach. Despite advances, there remains much to learn about human adaptation to spaceflight's unique challenges, including microgravity, immune system perturbations, and radiation exposure.

Methods: To provide a detailed genetics analysis of the mission, we collected dried blood spots pre-, during, and post-flight for DNA extraction. Telomere length was measured by quantitative PCR, while whole genome and cfDNA sequencing provided insight into genomic stability and immune adaptations. A robust bioinformatic pipeline was used for data analysis, including variant calling to assess mutational burden.

Result: Telomere elongation occurred during spaceflight and shortened after return to Earth. Cell-free DNA analysis revealed increased immune cell signatures post-flight. No significant clonal hematopoiesis of indeterminate potential (CHIP) or whole-genome instability was observed. The long-term gene expression changes across immune cells suggested cellular adaptations to the space environment persisting months post-flight.

Conclusion: Our findings provide valuable insights into the physiological consequences of short-duration spaceflight, with telomere dynamics and immune cell gene expression adapting to spaceflight and persisting after return to Earth. CHIP sequencing data will serve as a reference point for studying the early development of CHIP in astronauts, an understudied phenomenon as previous studies have focused on career astronauts. This study will serve as a reference point for future commercial and non-commercial spaceflight, low Earth orbit (LEO) missions, and deep-space exploration.

Abstract Image

Abstract Image

Abstract Image

基因组和克隆造血的稳定性与短时太空飞行期间免疫、cfDNA、线粒体和端粒长度的变化形成鲜明对比。
背景:Inspiration4(I4)任务是首次全民用轨道飞行任务,它通过多原子方法研究了短期太空飞行的生理影响。尽管取得了进展,但在人类适应太空飞行的独特挑战(包括微重力、免疫系统扰动和辐射暴露)方面仍有许多东西需要学习:为了对飞行任务进行详细的遗传学分析,我们收集了飞行前、飞行中和飞行后的干血迹,以提取 DNA。通过定量 PCR 测量端粒长度,同时进行全基因组和 cfDNA 测序,以深入了解基因组稳定性和免疫适应性。数据分析使用了强大的生物信息学管道,包括评估突变负担的变异调用:结果:端粒在太空飞行期间延长,返回地球后缩短。无细胞DNA分析显示飞行后免疫细胞特征增加。没有观察到明显的不确定潜能克隆造血(CHIP)或全基因组不稳定性。免疫细胞基因表达的长期变化表明,细胞对太空环境的适应在飞行数月后仍然存在:我们的研究结果为了解短时太空飞行的生理后果提供了有价值的见解,端粒动态和免疫细胞基因表达适应太空飞行,并在返回地球后持续存在。CHIP测序数据将成为研究宇航员CHIP早期发展的参考点,由于以往的研究主要集中在职业宇航员身上,因此对这一现象的研究不够。这项研究将成为未来商业和非商业航天飞行、低地球轨道(LEO)任务和深空探索的参考点。
本文章由计算机程序翻译,如有差异,请以英文原文为准。
求助全文
约1分钟内获得全文 求助全文
来源期刊
Precision Clinical Medicine
Precision Clinical Medicine MEDICINE, RESEARCH & EXPERIMENTAL-
CiteScore
10.80
自引率
0.00%
发文量
26
审稿时长
5 weeks
期刊介绍: Precision Clinical Medicine (PCM) is an international, peer-reviewed, open access journal that provides timely publication of original research articles, case reports, reviews, editorials, and perspectives across the spectrum of precision medicine. The journal's mission is to deliver new theories, methods, and evidence that enhance disease diagnosis, treatment, prevention, and prognosis, thereby establishing a vital communication platform for clinicians and researchers that has the potential to transform medical practice. PCM encompasses all facets of precision medicine, which involves personalized approaches to diagnosis, treatment, and prevention, tailored to individual patients or patient subgroups based on their unique genetic, phenotypic, or psychosocial profiles. The clinical conditions addressed by the journal include a wide range of areas such as cancer, infectious diseases, inherited diseases, complex diseases, and rare diseases.
×
引用
GB/T 7714-2015
复制
MLA
复制
APA
复制
导出至
BibTeX EndNote RefMan NoteFirst NoteExpress
×
提示
您的信息不完整,为了账户安全,请先补充。
现在去补充
×
提示
您因"违规操作"
具体请查看互助需知
我知道了
×
提示
确定
请完成安全验证×
copy
已复制链接
快去分享给好友吧!
我知道了
右上角分享
点击右上角分享
0
联系我们:info@booksci.cn Book学术提供免费学术资源搜索服务,方便国内外学者检索中英文文献。致力于提供最便捷和优质的服务体验。 Copyright © 2023 布克学术 All rights reserved.
京ICP备2023020795号-1
ghs 京公网安备 11010802042870号
Book学术文献互助
Book学术文献互助群
群 号:604180095
Book学术官方微信