Development of an opportunistic diagnostic prediction algorithm for osteoporosis and fragility fracture risk estimates from forearm radiographs (The OFFER1 Study).

IF 2.4 Q2 ENDOCRINOLOGY & METABOLISM
JBMR Plus Pub Date : 2024-03-15 eCollection Date: 2024-04-01 DOI:10.1093/jbmrpl/ziae020
Robert Meertens, Ben Lopez, Ben Crone, Mike Gundry, Emma Metcalfe-Smith, Warren Gibbard, Thomas Jubb, Fay Manning, Paul Scott, Richard McWilliam
{"title":"Development of an opportunistic diagnostic prediction algorithm for osteoporosis and fragility fracture risk estimates from forearm radiographs (The OFFER1 Study).","authors":"Robert Meertens, Ben Lopez, Ben Crone, Mike Gundry, Emma Metcalfe-Smith, Warren Gibbard, Thomas Jubb, Fay Manning, Paul Scott, Richard McWilliam","doi":"10.1093/jbmrpl/ziae020","DOIUrl":null,"url":null,"abstract":"<p><p>Osteoporosis and associated fractures are an increasingly prevalent concern with an ageing population. This study reports testing of IBEX Bone Health (IBEX BH) software, applied following acquisition of forearm radiographs. IBEX Bone Health analyses the radiograph to measure areal bone mineral density (aBMD) at the examination site. A non-randomized cross-sectional study design was performed involving 261 (254 after exclusions) participants (112/142 m/f; mean age 70.8 years (SD+/-9.0); 53 with osteoporosis). They underwent posterior-anterior distal forearm radiographs; dual X-ray absorptiometry (DXA) of the wrists, hips, and lumbar spine; and questionnaires exploring clinical risk factors. IBEX Bone Health automatically identifies regions of interest (ROI) at the ultra-distal (UD) and distal third (TD) regions of the radius. Analysis investigated area under the receiver operating characteristics curve performance of IBEX BH for prediction of (i) osteoporosis (based on clinical reporting of the hip and spine DXA) and (ii) treatment recommendations by Fracture Risk Assessment Tool (FRAX) inclusive of neck of femur (NoF) areal bone mineral density (aBMD) results following National Osteoporosis Guideline Group (NOGG) guidelines. Area under the receiver operating characteristics curve for osteoporosis prediction at the UD and TD ROIs were 0.86 (99% confidence interval (CI) [0.80, 0.91]) and 0.81 (99% CI [0.75, 0.88]), respectively. Area under the receiver operating characteristics curve for treatment recommendation using FRAX inclusive of NoF aBMD at the UD and TD ROIs were 0.95 (99% CI [0.91, 1.00]) and 0.97 (99% CI [0.93,1.00]), respectively. With a matched sensitivity to FRAX (without NoF aBMD) 0.93 (99% CI [0.78, 0.99]), IBEX BH predicted at the UD and TD ROIs recommended treatment outcomes by NOGG guidelines using FRAX (with NoF aBMD) with specificity 0.89 (99% CI 0.83, 0.94]) and 0.93 (99% CI [0.87, 0.97]), respectively. This is compared with 0.60 (99% CI [0.51, 0.69]) for FRAX (without NoF aBMD). Results demonstrate the potential clinical utility of IBEX BH as an opportunistic screening tool.</p>","PeriodicalId":14611,"journal":{"name":"JBMR Plus","volume":"8 4","pages":"ziae020"},"PeriodicalIF":2.4000,"publicationDate":"2024-03-15","publicationTypes":"Journal Article","fieldsOfStudy":null,"isOpenAccess":false,"openAccessPdf":"https://www.ncbi.nlm.nih.gov/pmc/articles/PMC10945724/pdf/","citationCount":"0","resultStr":null,"platform":"Semanticscholar","paperid":null,"PeriodicalName":"JBMR Plus","FirstCategoryId":"1085","ListUrlMain":"https://doi.org/10.1093/jbmrpl/ziae020","RegionNum":0,"RegionCategory":null,"ArticlePicture":[],"TitleCN":null,"AbstractTextCN":null,"PMCID":null,"EPubDate":"2024/4/1 0:00:00","PubModel":"eCollection","JCR":"Q2","JCRName":"ENDOCRINOLOGY & METABOLISM","Score":null,"Total":0}
引用次数: 0

Abstract

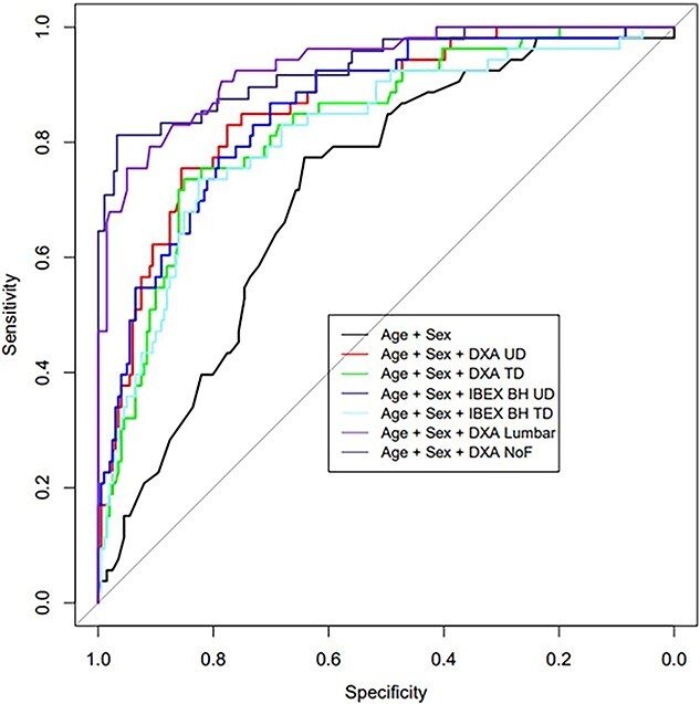
Osteoporosis and associated fractures are an increasingly prevalent concern with an ageing population. This study reports testing of IBEX Bone Health (IBEX BH) software, applied following acquisition of forearm radiographs. IBEX Bone Health analyses the radiograph to measure areal bone mineral density (aBMD) at the examination site. A non-randomized cross-sectional study design was performed involving 261 (254 after exclusions) participants (112/142 m/f; mean age 70.8 years (SD+/-9.0); 53 with osteoporosis). They underwent posterior-anterior distal forearm radiographs; dual X-ray absorptiometry (DXA) of the wrists, hips, and lumbar spine; and questionnaires exploring clinical risk factors. IBEX Bone Health automatically identifies regions of interest (ROI) at the ultra-distal (UD) and distal third (TD) regions of the radius. Analysis investigated area under the receiver operating characteristics curve performance of IBEX BH for prediction of (i) osteoporosis (based on clinical reporting of the hip and spine DXA) and (ii) treatment recommendations by Fracture Risk Assessment Tool (FRAX) inclusive of neck of femur (NoF) areal bone mineral density (aBMD) results following National Osteoporosis Guideline Group (NOGG) guidelines. Area under the receiver operating characteristics curve for osteoporosis prediction at the UD and TD ROIs were 0.86 (99% confidence interval (CI) [0.80, 0.91]) and 0.81 (99% CI [0.75, 0.88]), respectively. Area under the receiver operating characteristics curve for treatment recommendation using FRAX inclusive of NoF aBMD at the UD and TD ROIs were 0.95 (99% CI [0.91, 1.00]) and 0.97 (99% CI [0.93,1.00]), respectively. With a matched sensitivity to FRAX (without NoF aBMD) 0.93 (99% CI [0.78, 0.99]), IBEX BH predicted at the UD and TD ROIs recommended treatment outcomes by NOGG guidelines using FRAX (with NoF aBMD) with specificity 0.89 (99% CI 0.83, 0.94]) and 0.93 (99% CI [0.87, 0.97]), respectively. This is compared with 0.60 (99% CI [0.51, 0.69]) for FRAX (without NoF aBMD). Results demonstrate the potential clinical utility of IBEX BH as an opportunistic screening tool.

Abstract Image

Abstract Image

Abstract Image

根据前臂 X 射线照片开发骨质疏松症和脆性骨折风险评估的机会性诊断预测算法(OFFER1 研究)。
随着人口老龄化,骨质疏松症和相关骨折问题日益突出。本研究报告对 IBEX Bone Health(IBEX BH)软件进行了测试,该软件是在采集前臂X光片后应用的。IBEX Bone Health 通过分析射线照片来测量检查部位的平均骨矿物质密度 (aBMD)。该研究采用非随机横断面研究设计,共有 261 人(排除 254 人后)参加(男性/女性 112/142;平均年龄 70.8 岁(SD+/-9.0);53 人患有骨质疏松症)。他们接受了前臂远端后前位片检查;腕部、髋部和腰椎的双 X 射线吸收测定(DXA);以及临床风险因素调查问卷。IBEX Bone Health能自动识别桡骨超远端(UD)和远端三分之一(TD)区域的感兴趣区(ROI)。分析调查了 IBEX BH 在预测 (i) 骨质疏松症(基于髋关节和脊柱 DXA 的临床报告)和 (ii) 骨折风险评估工具 (FRAX) 治疗建议(包括股骨颈 (NoF) 平均骨矿密度 (aBMD) 结果)方面的接收器操作特征曲线下面积性能,这些预测均遵循国家骨质疏松症指导小组 (NOGG) 指南。UD 和 TD ROI 的骨质疏松症预测接收器操作特征曲线下面积分别为 0.86(99% 置信区间 (CI) [0.80, 0.91])和 0.81(99% CI [0.75, 0.88])。使用 FRAX(包括 UD 和 TD ROI 的 NoF aBMD)进行治疗推荐的接收器操作特征曲线下面积分别为 0.95(99% CI [0.91,1.00])和 0.97(99% CI [0.93,1.00])。与 FRAX(无 NoF aBMD)相匹配的灵敏度为 0.93(99% CI [0.78,0.99]),IBEX BH 在 UD 和 TD ROI 预测 NOGG 指南使用 FRAX(无 NoF aBMD)推荐的治疗结果的特异性分别为 0.89(99% CI 0.83,0.94])和 0.93(99% CI [0.87,0.97])。而 FRAX(无 NoF aBMD)的特异性为 0.60(99% CI [0.51,0.69])。结果表明,IBEX BH 作为一种机会性筛查工具具有潜在的临床实用性。
本文章由计算机程序翻译,如有差异,请以英文原文为准。
求助全文
约1分钟内获得全文 求助全文
来源期刊
JBMR Plus
JBMR Plus Medicine-Orthopedics and Sports Medicine
CiteScore
5.80
自引率
2.60%
发文量
103
审稿时长
8 weeks
×
引用
GB/T 7714-2015
复制
MLA
复制
APA
复制
导出至
BibTeX EndNote RefMan NoteFirst NoteExpress
×
提示
您的信息不完整,为了账户安全,请先补充。
现在去补充
×
提示
您因"违规操作"
具体请查看互助需知
我知道了
×
提示
确定
请完成安全验证×
copy
已复制链接
快去分享给好友吧!
我知道了
右上角分享
点击右上角分享
0
联系我们:info@booksci.cn Book学术提供免费学术资源搜索服务,方便国内外学者检索中英文文献。致力于提供最便捷和优质的服务体验。 Copyright © 2023 布克学术 All rights reserved.
京ICP备2023020795号-1
ghs 京公网安备 11010802042870号
Book学术文献互助
Book学术文献互助群
群 号:604180095
Book学术官方微信