Pulmonary congestion and systemic congestion in hemodialysis: dynamics and correlations.

Frontiers in nephrology Pub Date : 2024-02-23 eCollection Date: 2024-01-01 DOI:10.3389/fneph.2024.1336863
Saleh Kaysi, Bakhtar Pacha, Maria Mesquita, Frédéric Collart, Joëlle Nortier
{"title":"Pulmonary congestion and systemic congestion in hemodialysis: dynamics and correlations.","authors":"Saleh Kaysi, Bakhtar Pacha, Maria Mesquita, Frédéric Collart, Joëlle Nortier","doi":"10.3389/fneph.2024.1336863","DOIUrl":null,"url":null,"abstract":"<p><strong>Introduction: </strong>Systemic congestion and pulmonary congestion (PC) are common in hemodialysis (HD) patients. However, the relationship between these two entities is not quite clear. We study this relationship and attempt to uncover the factors that may affect it considering different inter-dialytic intervals.</p><p><strong>Methods: </strong>A prospective pilot observational and interventional study including 18 HD patients was conducted. The following were obtained: i) B-line score (BLS) by lung ultrasound (LUS) (reflecting significant pulmonary congestion if BLS > 5), ii) echocardiography, iii) bioelectrical impedance analysis (BIA) (reflecting global volume status), and iv) inferior vena cava (IVC) dynamics (reflecting systemic congestion) before and after the first two consecutive HD sessions of the week, with different inter-dialytic intervals (68 hours and 44 hours). Serum N-terminal pro-brain natriuretic peptide type B (NT-proBNP) levels were obtained before each session. Then, patients were randomized into two groups: the active group, where dry weight was reduced according to BLS + standard of care, and the control group, where dry weight was modified according to standard of care. All the measures were repeated on day 30.</p><p><strong>Results: </strong>We found no correlation between pulmonary congestion represented by BLS and IVC dimensions and dynamics reflecting systemic congestion, independent of different inter-dialytic intervals. Pulmonary congestion was quite prevalent, as mean pre- and post-dialysis BLSs were quite elevated (16 ± 5.53 and 15.3 ± 6.63, respectively) in the first session compared with the second session (16.3 ± 5.26 and 13.6 ± 5.83, respectively). Systolic (left ventricular ejection fraction) and diastolic cardiac function (e/è ratio) parameters from one side and pulmonary congestion (BLS) from the other were not always correlated. BLS was correlated to e/è ratio before HD (session 1) (<i>R</i> <sup>2</sup> = 0.476, <i>p</i> = 0.002) and after HD (session 2) (<i>R</i> <sup>2</sup> = 0.193, <i>p</i> = 0.034). Pulmonary congestion reflected by BLS was correlated to the global volume state reflected by BIA only in the second HD session (HD2) (<i>R</i> <sup>2</sup> = 0.374, <i>p</i> = 0.007). NT-proBNP levels and BLS were correlated before both sessions (<i>R</i> <sup>2</sup> = 0.421, <i>p</i> = 0.004, and <i>R</i> <sup>2</sup> = 0.505, <i>p</i> = 0.001, respectively). Systemic congestion was quite prevalent, as mean pre- and post-dialysis IVC dimensions and dynamics were quite elevated in both sessions, with a higher level of systemic congestion in the first HD session (diameter and collapsibility of 2.1 cm and 23%, and 2.01 cm and 19%, respectively) compared with the second session (1.98 cm and 17.5%, and 1.9 cm and 22%, respectively) without reaching statistical significance. IVC dimensions and global volume status measured by BIA were correlated in the second dialysis session (<i>R</i> <sup>2</sup> = 0.260, <i>p</i> = 0.031). No correlation was found between IVC dimensions and diastolic cardiac function (e/è ratio) parameters or with NT-proBNP levels. On day 30, BLS was significantly reduced in the active group, whereas no difference was found in the control group. However, no real impact was observed on IVC dimensions and dynamics or in total volume status by BIA.</p><p><strong>Conclusion: </strong>Pulmonary congestion is common in HD patients even after reaching their dry weight at the end of two consecutive sessions, and it is not correlated to systemic congestion, suggesting a complex multifactorial pathophysiology origin. Global volume status reflected by BIA and cardiac function are not always related to either systemic congestion represented by IVC dimensions or pulmonary congestion represented by BLS. Fluid redistribution anomalies may allow pulmonary congestion accumulation independently from systemic congestion and global volume status (non-cardiogenic pulmonary congestion). We recommend a personalised approach when managing HD patients by integrating systemic and pulmonary congestion parameters. Dry weight modification guided by repeat LUS may safely reduce pulmonary congestion. However, no impact was observed on systemic congestion or global volume status.</p>","PeriodicalId":73091,"journal":{"name":"Frontiers in nephrology","volume":"4 ","pages":"1336863"},"PeriodicalIF":0.0000,"publicationDate":"2024-02-23","publicationTypes":"Journal Article","fieldsOfStudy":null,"isOpenAccess":false,"openAccessPdf":"https://www.ncbi.nlm.nih.gov/pmc/articles/PMC10921353/pdf/","citationCount":"0","resultStr":null,"platform":"Semanticscholar","paperid":null,"PeriodicalName":"Frontiers in nephrology","FirstCategoryId":"1085","ListUrlMain":"https://doi.org/10.3389/fneph.2024.1336863","RegionNum":0,"RegionCategory":null,"ArticlePicture":[],"TitleCN":null,"AbstractTextCN":null,"PMCID":null,"EPubDate":"2024/1/1 0:00:00","PubModel":"eCollection","JCR":"","JCRName":"","Score":null,"Total":0}
引用次数: 0

Abstract

Introduction: Systemic congestion and pulmonary congestion (PC) are common in hemodialysis (HD) patients. However, the relationship between these two entities is not quite clear. We study this relationship and attempt to uncover the factors that may affect it considering different inter-dialytic intervals.

Methods: A prospective pilot observational and interventional study including 18 HD patients was conducted. The following were obtained: i) B-line score (BLS) by lung ultrasound (LUS) (reflecting significant pulmonary congestion if BLS > 5), ii) echocardiography, iii) bioelectrical impedance analysis (BIA) (reflecting global volume status), and iv) inferior vena cava (IVC) dynamics (reflecting systemic congestion) before and after the first two consecutive HD sessions of the week, with different inter-dialytic intervals (68 hours and 44 hours). Serum N-terminal pro-brain natriuretic peptide type B (NT-proBNP) levels were obtained before each session. Then, patients were randomized into two groups: the active group, where dry weight was reduced according to BLS + standard of care, and the control group, where dry weight was modified according to standard of care. All the measures were repeated on day 30.

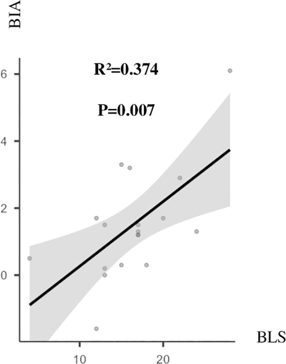
Results: We found no correlation between pulmonary congestion represented by BLS and IVC dimensions and dynamics reflecting systemic congestion, independent of different inter-dialytic intervals. Pulmonary congestion was quite prevalent, as mean pre- and post-dialysis BLSs were quite elevated (16 ± 5.53 and 15.3 ± 6.63, respectively) in the first session compared with the second session (16.3 ± 5.26 and 13.6 ± 5.83, respectively). Systolic (left ventricular ejection fraction) and diastolic cardiac function (e/è ratio) parameters from one side and pulmonary congestion (BLS) from the other were not always correlated. BLS was correlated to e/è ratio before HD (session 1) (R 2 = 0.476, p = 0.002) and after HD (session 2) (R 2 = 0.193, p = 0.034). Pulmonary congestion reflected by BLS was correlated to the global volume state reflected by BIA only in the second HD session (HD2) (R 2 = 0.374, p = 0.007). NT-proBNP levels and BLS were correlated before both sessions (R 2 = 0.421, p = 0.004, and R 2 = 0.505, p = 0.001, respectively). Systemic congestion was quite prevalent, as mean pre- and post-dialysis IVC dimensions and dynamics were quite elevated in both sessions, with a higher level of systemic congestion in the first HD session (diameter and collapsibility of 2.1 cm and 23%, and 2.01 cm and 19%, respectively) compared with the second session (1.98 cm and 17.5%, and 1.9 cm and 22%, respectively) without reaching statistical significance. IVC dimensions and global volume status measured by BIA were correlated in the second dialysis session (R 2 = 0.260, p = 0.031). No correlation was found between IVC dimensions and diastolic cardiac function (e/è ratio) parameters or with NT-proBNP levels. On day 30, BLS was significantly reduced in the active group, whereas no difference was found in the control group. However, no real impact was observed on IVC dimensions and dynamics or in total volume status by BIA.

Conclusion: Pulmonary congestion is common in HD patients even after reaching their dry weight at the end of two consecutive sessions, and it is not correlated to systemic congestion, suggesting a complex multifactorial pathophysiology origin. Global volume status reflected by BIA and cardiac function are not always related to either systemic congestion represented by IVC dimensions or pulmonary congestion represented by BLS. Fluid redistribution anomalies may allow pulmonary congestion accumulation independently from systemic congestion and global volume status (non-cardiogenic pulmonary congestion). We recommend a personalised approach when managing HD patients by integrating systemic and pulmonary congestion parameters. Dry weight modification guided by repeat LUS may safely reduce pulmonary congestion. However, no impact was observed on systemic congestion or global volume status.

Abstract Image

Abstract Image

Abstract Image

血液透析中的肺充血和全身充血:动态和相关性。
导言:全身充血和肺充血(PC)在血液透析(HD)患者中很常见。然而,这两种情况之间的关系并不十分明确。我们对这种关系进行了研究,并试图根据不同的透析间隔时间找出可能影响这种关系的因素:方法:我们对 18 名 HD 患者进行了前瞻性试点观察和干预研究。在每周前两次连续的血液透析前后(两次透析间隔时间不同,分别为 68 小时和 44 小时),采集了以下数据:i) 肺部超声(LUS)B 线评分(BLS)(如果 BLS > 5,则反映肺部严重充血);ii) 超声心动图;iii) 生物电阻抗分析(BIA)(反映总体容量状态);iv) 下腔静脉(IVC)动力学(反映全身充血)。每次治疗前均检测血清 N 端脑钠肽 B 型(NT-proBNP)水平。然后,将患者随机分为两组:积极组和对照组,前者根据 BLS + 标准护理方法减轻干重,后者根据标准护理方法改变干重。所有测量均在第30天重复进行:我们发现,以 BLS 和 IVC 尺寸为代表的肺充血与反映全身充血的动态变化之间没有相关性,与不同的透析间隔无关。肺充血非常普遍,因为第一次透析前和透析后的平均肺活量分别为(16 ± 5.53 和 15.3 ± 6.63),而第二次透析前和透析后的平均肺活量分别为(16.3 ± 5.26 和 13.6 ± 5.83)。一侧的收缩(左室射血分数)和舒张心功能(e/è比值)参数与另一侧的肺充血(BLS)并不总是相关的。血液透析前(第一疗程)(R 2 = 0.476,p = 0.002)和血液透析后(第二疗程)(R 2 = 0.193,p = 0.034),BLS 与 e/è 比值相关。只有在第二个 HD 阶段(HD2),BLS 反映的肺充血情况与 BIA 反映的总体容量状态相关(R 2 = 0.374,p = 0.007)。NT-proBNP 水平与 BLS 在两个疗程前均相关(R 2 = 0.421,p = 0.004;R 2 = 0.505,p = 0.001)。全身性充血非常普遍,两次透析前和透析后的平均 IVC 尺寸和动态值都很高,第一次血液透析(直径和塌陷度分别为 2.1 厘米和 23%,以及 2.01 厘米和 19%)与第二次血液透析(直径和塌陷度分别为 1.98 厘米和 17.5%,以及 1.9 厘米和 22%)相比,全身性充血程度更高,但未达到统计学意义。在第二个透析疗程中,BIA 测量的 IVC 尺寸与总体容量状态相关(R 2 = 0.260,p = 0.031)。IVC 尺寸与心脏舒张功能(e/è 比值)参数或 NT-proBNP 水平之间没有相关性。第 30 天,积极治疗组的 BLS 明显降低,而对照组则无差异。然而,通过 BIA 观察,对 IVC 的尺寸和动态或总容量状态没有实际影响:结论:即使在连续两个疗程结束时达到干体重,肺充血在 HD 患者中也很常见,而且与全身充血无关,这表明病理生理学的起源是复杂的多因素。BIA 和心脏功能所反映的总体容量状态并不总是与以 IVC 尺寸为代表的全身充血或以 BLS 为代表的肺充血相关。体液再分布异常可能导致肺充血积聚,而与全身充血和总容量状态无关(非心源性肺充血)。我们建议在管理血液透析患者时采用个性化方法,综合考虑全身和肺充血参数。在重复 LUS 的指导下调整干重可安全地减轻肺充血。但是,我们没有观察到这对全身充血或总体容量状态有任何影响。
本文章由计算机程序翻译,如有差异,请以英文原文为准。
求助全文
约1分钟内获得全文 求助全文
来源期刊
自引率
0.00%
发文量
0
×
引用
GB/T 7714-2015
复制
MLA
复制
APA
复制
导出至
BibTeX EndNote RefMan NoteFirst NoteExpress
×
提示
您的信息不完整,为了账户安全,请先补充。
现在去补充
×
提示
您因"违规操作"
具体请查看互助需知
我知道了
×
提示
确定
请完成安全验证×
copy
已复制链接
快去分享给好友吧!
我知道了
右上角分享
点击右上角分享
0
联系我们:info@booksci.cn Book学术提供免费学术资源搜索服务,方便国内外学者检索中英文文献。致力于提供最便捷和优质的服务体验。 Copyright © 2023 布克学术 All rights reserved.
京ICP备2023020795号-1
ghs 京公网安备 11010802042870号
Book学术文献互助
Book学术文献互助群
群 号:604180095
Book学术官方微信