Evaluating the Role of Methylated Circulating Tumor DNA in Combination With Pathological Prognostic Factors for Predicting Recurrence of Colorectal Cancer.

IF 2.6 Q2 MEDICINE, RESEARCH & EXPERIMENTAL
Biomarker Insights Pub Date : 2024-02-28 eCollection Date: 2024-01-01 DOI:10.1177/11772719241232870
Hiba Al Naji, Jean M Winter, Susanne K Pedersen, Amitesh Roy, Susan E Byrne, Graeme P Young, Erin L Symonds
{"title":"Evaluating the Role of Methylated Circulating Tumor DNA in Combination With Pathological Prognostic Factors for Predicting Recurrence of Colorectal Cancer.","authors":"Hiba Al Naji, Jean M Winter, Susanne K Pedersen, Amitesh Roy, Susan E Byrne, Graeme P Young, Erin L Symonds","doi":"10.1177/11772719241232870","DOIUrl":null,"url":null,"abstract":"<p><strong>Background: </strong>Colorectal cancer (CRC) has a high rate of recurrence, in particular for advanced disease, but prognosis based on staging and pathology at surgery can have limited efficacy. The presence of circulating tumor DNA (ctDNA) at diagnosis could be used to improve the prediction for disease recurrence.</p><p><strong>Objectives: </strong>To assess the impact of detecting methylated <i>BCAT1/IKZF1</i> ctDNA at diagnosis in combination with demographic, lifestyle, clinical factors and tumor pathology, to assess predictive value for recurrence.</p><p><strong>Design: </strong>A retrospective cohort study.</p><p><strong>Methods: </strong>The cohort included 180 patients (36 with recurrent CRC), who had undergone complete treatment and surveillance for a minimum of 3 years. Participant clinical details and ctDNA methylated <i>BCAT1</i>/<i>IKZF1</i> results were compared between those with and without recurrence, and cox regression analysis assessed each factor on disease-free survival.</p><p><strong>Results: </strong>Clinical factors independently associated with reduced disease-free survival included nodal involvement (HR = 3.83, 95% CI 1.56-9.43, <i>P</i> = .003), M1 stage (HR = 4.41, 95% CI 1.18-16.45, <i>P</i> = .027), a resection margin less than 2 mm (HR = 4.60, 95% CI 1.19-17.76, <i>P</i> = .027), perineural involvement (HR = 2.50, 95% CI 1.01-6.17, <i>P</i> = .047) and distal tumors (HR = 3.13, 95% CI 1.07-9.18, <i>P</i> = .037). Methylated <i>BCAT1</i>/<i>IKZF1</i> was detected in 51.7% (93/180) of pre-treatment plasma samples. When a positive ctDNA finding was considered in combination with these clinical prognostic factors, there was improved predictive power of recurrence for patients with perineural involvement (HR = 4.44, 95% CI 1.92-10.26, <i>P</i> < .001), and it marginally improved the predictive factor for M1 stage (HR = 7.59, 95% CI 2.30-25.07, <i>P</i> = .001) and distal tumors (HR = 5.04, 95% CI 1.88-13.49, <i>P</i> = .001).</p><p><strong>Conclusions: </strong>Nodal invasion, metastatic disease, distal tumor site, low resection margins and perineural invasion were associated with disease recurrence. Pre-treatment methylated ctDNA measurement can improve the predictive value for recurrence in a subset of patients, particularly those with perineural involvement.</p><p><strong>Registration: </strong>Australian and New Zealand Clinical Trials Registry #12611000318987.</p>","PeriodicalId":47060,"journal":{"name":"Biomarker Insights","volume":"19 ","pages":"11772719241232870"},"PeriodicalIF":2.6000,"publicationDate":"2024-02-28","publicationTypes":"Journal Article","fieldsOfStudy":null,"isOpenAccess":false,"openAccessPdf":"https://www.ncbi.nlm.nih.gov/pmc/articles/PMC10903227/pdf/","citationCount":"0","resultStr":null,"platform":"Semanticscholar","paperid":null,"PeriodicalName":"Biomarker Insights","FirstCategoryId":"1085","ListUrlMain":"https://doi.org/10.1177/11772719241232870","RegionNum":0,"RegionCategory":null,"ArticlePicture":[],"TitleCN":null,"AbstractTextCN":null,"PMCID":null,"EPubDate":"2024/1/1 0:00:00","PubModel":"eCollection","JCR":"Q2","JCRName":"MEDICINE, RESEARCH & EXPERIMENTAL","Score":null,"Total":0}
引用次数: 0

Abstract

Background: Colorectal cancer (CRC) has a high rate of recurrence, in particular for advanced disease, but prognosis based on staging and pathology at surgery can have limited efficacy. The presence of circulating tumor DNA (ctDNA) at diagnosis could be used to improve the prediction for disease recurrence.

Objectives: To assess the impact of detecting methylated BCAT1/IKZF1 ctDNA at diagnosis in combination with demographic, lifestyle, clinical factors and tumor pathology, to assess predictive value for recurrence.

Design: A retrospective cohort study.

Methods: The cohort included 180 patients (36 with recurrent CRC), who had undergone complete treatment and surveillance for a minimum of 3 years. Participant clinical details and ctDNA methylated BCAT1/IKZF1 results were compared between those with and without recurrence, and cox regression analysis assessed each factor on disease-free survival.

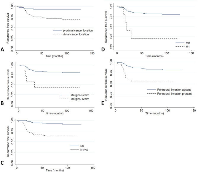
Results: Clinical factors independently associated with reduced disease-free survival included nodal involvement (HR = 3.83, 95% CI 1.56-9.43, P = .003), M1 stage (HR = 4.41, 95% CI 1.18-16.45, P = .027), a resection margin less than 2 mm (HR = 4.60, 95% CI 1.19-17.76, P = .027), perineural involvement (HR = 2.50, 95% CI 1.01-6.17, P = .047) and distal tumors (HR = 3.13, 95% CI 1.07-9.18, P = .037). Methylated BCAT1/IKZF1 was detected in 51.7% (93/180) of pre-treatment plasma samples. When a positive ctDNA finding was considered in combination with these clinical prognostic factors, there was improved predictive power of recurrence for patients with perineural involvement (HR = 4.44, 95% CI 1.92-10.26, P < .001), and it marginally improved the predictive factor for M1 stage (HR = 7.59, 95% CI 2.30-25.07, P = .001) and distal tumors (HR = 5.04, 95% CI 1.88-13.49, P = .001).

Conclusions: Nodal invasion, metastatic disease, distal tumor site, low resection margins and perineural invasion were associated with disease recurrence. Pre-treatment methylated ctDNA measurement can improve the predictive value for recurrence in a subset of patients, particularly those with perineural involvement.

Registration: Australian and New Zealand Clinical Trials Registry #12611000318987.

Abstract Image

Abstract Image

Abstract Image

评估甲基化循环肿瘤 DNA 与病理预后因素相结合在预测结直肠癌复发方面的作用
背景:结直肠癌(CRC)的复发率很高,尤其是晚期患者,但根据手术分期和病理结果进行预后的效果有限。诊断时出现的循环肿瘤 DNA(ctDNA)可用于改善疾病复发的预测:评估诊断时检测甲基化 BCAT1/IKZF1 ctDNA 与人口统计学、生活方式、临床因素和肿瘤病理学相结合对复发预测价值的影响:设计:一项回顾性队列研究:该队列包括 180 名患者(36 名复发性 CRC 患者),他们接受了至少 3 年的完整治疗和监测。对复发和未复发患者的临床详情和ctDNA甲基化BCAT1/IKZF1结果进行比较,并通过cox回归分析评估各因素对无病生存率的影响:与无病生存率降低独立相关的临床因素包括结节受累(HR = 3.83,95% CI 1.56-9.43,P = .003)、M1 分期(HR = 4.41,95% CI 1.18-16.45,P = .027)、切除边缘小于 2 mm(HR = 4.60,95% CI 1.19-17.76,P = .027)、神经周围受累(HR = 2.50,95% CI 1.01-6.17,P = .047)和远端肿瘤(HR = 3.13,95% CI 1.07-9.18,P = .037)。在51.7%(93/180)的治疗前血浆样本中检测到甲基化的BCAT1/IKZF1。如果将ctDNA阳性结果与这些临床预后因素结合起来考虑,则神经周围受累(HR = 4.44,95% CI 1.92-10.26,P = .001)和远端肿瘤(HR = 5.04,95% CI 1.88-13.49,P = .001)患者的复发预测能力有所提高:结节侵犯、转移性疾病、远端肿瘤部位、切除边缘低和神经周围侵犯与疾病复发有关。治疗前甲基化ctDNA测量可提高对部分患者复发的预测价值,尤其是那些有神经周围受累的患者:澳大利亚和新西兰临床试验注册号:12611000318987。
本文章由计算机程序翻译,如有差异,请以英文原文为准。
求助全文
约1分钟内获得全文 求助全文
来源期刊
Biomarker Insights
Biomarker Insights MEDICINE, RESEARCH & EXPERIMENTAL-
CiteScore
6.00
自引率
0.00%
发文量
26
审稿时长
8 weeks
期刊介绍: An open access, peer reviewed electronic journal that covers all aspects of biomarker research and clinical applications.
×
引用
GB/T 7714-2015
复制
MLA
复制
APA
复制
导出至
BibTeX EndNote RefMan NoteFirst NoteExpress
×
提示
您的信息不完整,为了账户安全,请先补充。
现在去补充
×
提示
您因"违规操作"
具体请查看互助需知
我知道了
×
提示
确定
请完成安全验证×
copy
已复制链接
快去分享给好友吧!
我知道了
右上角分享
点击右上角分享
0
联系我们:info@booksci.cn Book学术提供免费学术资源搜索服务,方便国内外学者检索中英文文献。致力于提供最便捷和优质的服务体验。 Copyright © 2023 布克学术 All rights reserved.
京ICP备2023020795号-1
ghs 京公网安备 11010802042870号
Book学术文献互助
Book学术文献互助群
群 号:604180095
Book学术官方微信