Out-of-pocket costs associated with chronic respiratory diseases in Korean adults.

IF 2.3 3区 医学 Q2 RESPIRATORY SYSTEM
Jun Su Park, Bomgyeol Kim, Yejin Kim, Sang Gyu Lee, Tae Hyun Kim
{"title":"Out-of-pocket costs associated with chronic respiratory diseases in Korean adults.","authors":"Jun Su Park, Bomgyeol Kim, Yejin Kim, Sang Gyu Lee, Tae Hyun Kim","doi":"10.1177/14799731241233301","DOIUrl":null,"url":null,"abstract":"<p><strong>Objectives: </strong>Chronic respiratory diseases (CRDs) are a burden on both individuals and society. While previous literature has highlighted the clinical burden and total costs of care, it has not addressed patients' direct payments. This study aimed to estimate the incremental healthcare costs associated with patients with CRDs, specifically out-of-pocket (OOP) costs.</p><p><strong>Methods: </strong>We used survey data from the 2019 Korea Health Panel Survey to estimate the total OOP costs of CRDs by comparing the annual hospitalizations, outpatient visits, emergency room visits, and medications of patients with and without CRDs. Generalized linear regression models controlled for differences in other characteristics between groups.</p><p><strong>Results: </strong>We identified 222 patients with CRDs, of whom 166 were aged 65 years and older. Compared with the non-CRD group, CRD patients spent more on OOP costs (238.3 USD on average). Incremental costs were driven by outpatient visits and medications, which are subject to a coinsurance of 30% or more and may include items not covered by public insurance. Moreover, CRD patients aged 50-64 years incurred the highest incremental costs.</p><p><strong>Discussion: </strong>The financial burden associated with CRDs is significant, and outpatient visits and medications constitute the largest components of OOP spending. Policymakers should introduce appropriate strategies to reduce CRD-associated burdens.</p>","PeriodicalId":10217,"journal":{"name":"Chronic Respiratory Disease","volume":"21 ","pages":"14799731241233301"},"PeriodicalIF":2.3000,"publicationDate":"2024-01-01","publicationTypes":"Journal Article","fieldsOfStudy":null,"isOpenAccess":false,"openAccessPdf":"https://www.ncbi.nlm.nih.gov/pmc/articles/PMC10893827/pdf/","citationCount":"0","resultStr":null,"platform":"Semanticscholar","paperid":null,"PeriodicalName":"Chronic Respiratory Disease","FirstCategoryId":"3","ListUrlMain":"https://doi.org/10.1177/14799731241233301","RegionNum":3,"RegionCategory":"医学","ArticlePicture":[],"TitleCN":null,"AbstractTextCN":null,"PMCID":null,"EPubDate":"","PubModel":"","JCR":"Q2","JCRName":"RESPIRATORY SYSTEM","Score":null,"Total":0}
引用次数: 0

Abstract

Objectives: Chronic respiratory diseases (CRDs) are a burden on both individuals and society. While previous literature has highlighted the clinical burden and total costs of care, it has not addressed patients' direct payments. This study aimed to estimate the incremental healthcare costs associated with patients with CRDs, specifically out-of-pocket (OOP) costs.

Methods: We used survey data from the 2019 Korea Health Panel Survey to estimate the total OOP costs of CRDs by comparing the annual hospitalizations, outpatient visits, emergency room visits, and medications of patients with and without CRDs. Generalized linear regression models controlled for differences in other characteristics between groups.

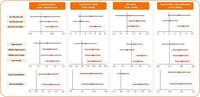
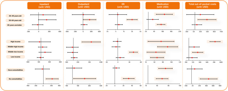
Results: We identified 222 patients with CRDs, of whom 166 were aged 65 years and older. Compared with the non-CRD group, CRD patients spent more on OOP costs (238.3 USD on average). Incremental costs were driven by outpatient visits and medications, which are subject to a coinsurance of 30% or more and may include items not covered by public insurance. Moreover, CRD patients aged 50-64 years incurred the highest incremental costs.

Discussion: The financial burden associated with CRDs is significant, and outpatient visits and medications constitute the largest components of OOP spending. Policymakers should introduce appropriate strategies to reduce CRD-associated burdens.

Abstract Image

Abstract Image

Abstract Image

韩国成年人与慢性呼吸系统疾病相关的自付费用。
目的:慢性呼吸系统疾病(CRD)是个人和社会的负担。以往的文献强调了临床负担和医疗总成本,但并未涉及患者的直接支付。本研究旨在估算与 CRD 患者相关的增量医疗成本,特别是自付(OOP)成本:我们使用了 2019 年韩国健康小组调查的调查数据,通过比较有 CRD 和没有 CRD 患者的年度住院、门诊就诊、急诊就诊和用药情况,估算了 CRD 的自付费用总额。广义线性回归模型控制了组间其他特征的差异:我们发现了 222 名 CRD 患者,其中 166 人年龄在 65 岁及以上。与非 CRD 组相比,CRD 患者的 OOP 费用更高(平均 238.3 美元)。增加的费用主要来自门诊和药物,这些费用的共同保险比例为 30% 或更高,而且可能包括公共保险不承保的项目。此外,50-64 岁的慢性阻塞性肺病患者的增量成本最高:讨论:与 CRD 相关的经济负担十分沉重,而门诊就诊和药物治疗是 OOP 支出的最大组成部分。政策制定者应采取适当的策略来减轻与 CRD 相关的负担。
本文章由计算机程序翻译,如有差异,请以英文原文为准。
求助全文
约1分钟内获得全文 求助全文
来源期刊
Chronic Respiratory Disease
Chronic Respiratory Disease RESPIRATORY SYSTEM-
CiteScore
5.90
自引率
7.30%
发文量
47
审稿时长
11 weeks
期刊介绍: Chronic Respiratory Disease is a peer-reviewed, open access, scholarly journal, created in response to the rising incidence of chronic respiratory diseases worldwide. It publishes high quality research papers and original articles that have immediate relevance to clinical practice and its multi-disciplinary perspective reflects the nature of modern treatment. The journal provides a high quality, multi-disciplinary focus for the publication of original papers, reviews and commentary in the broad area of chronic respiratory disease, particularly its treatment and management.
×
引用
GB/T 7714-2015
复制
MLA
复制
APA
复制
导出至
BibTeX EndNote RefMan NoteFirst NoteExpress
×
提示
您的信息不完整,为了账户安全,请先补充。
现在去补充
×
提示
您因"违规操作"
具体请查看互助需知
我知道了
×
提示
确定
请完成安全验证×
copy
已复制链接
快去分享给好友吧!
我知道了
右上角分享
点击右上角分享
0
联系我们:info@booksci.cn Book学术提供免费学术资源搜索服务,方便国内外学者检索中英文文献。致力于提供最便捷和优质的服务体验。 Copyright © 2023 布克学术 All rights reserved.
京ICP备2023020795号-1
ghs 京公网安备 11010802042870号
Book学术文献互助
Book学术文献互助群
群 号:604180095
Book学术官方微信