The prognostic significance of programmed cell death protein 1 and its ligand on lymphoma cells and tumor-immune cells in diffuse large B-cell lymphoma, not otherwise specified.

IF 2.2 4区 医学 Q3 ONCOLOGY
Radiology and Oncology Pub Date : 2024-02-21 eCollection Date: 2024-03-01 DOI:10.2478/raon-2024-0010
Teja Cas Slak, Simona Miceska, Gorana Gasljevic, Lucka Boltezar, Veronika Kloboves-Prevodnik
{"title":"The prognostic significance of programmed cell death protein 1 and its ligand on lymphoma cells and tumor-immune cells in diffuse large B-cell lymphoma, not otherwise specified.","authors":"Teja Cas Slak, Simona Miceska, Gorana Gasljevic, Lucka Boltezar, Veronika Kloboves-Prevodnik","doi":"10.2478/raon-2024-0010","DOIUrl":null,"url":null,"abstract":"<p><strong>Background: </strong>Diffuse large B-cell lymphoma, not otherwise specified (DLBCL, NOS) is the most common type non-Hodgkin's lymphoma, where the treatment of relapsed/refractory cases is the major challenge. Programmed cell death protein 1 (PD-1) and its ligand PD-L1 play a crucial role in the negative regulation of the immune response against the disease. The aim of the study was to analyze the expression of PD-1 and PD-L1 on lymphoma cells (LCs) and tumor-immune cells (TICs) and to investigate their correlation with outcome.</p><p><strong>Patients and methods: </strong>Samples from 283 patients diagnosed with DLBCL, NOS (both germinal center B cell like [GCB] and non-GCB subtypes) were included in the study. Expression of PD-1 and PD-L1 was determined using double immunohistochemical staining (D-IHC) for PD-1/PAX5 and PD-L1/PAX5 on tissue microarrays. LCs were highlighted by D-IHC to obtain more accurate results. Clinical data and histologic diagnoses were obtained from electronic data records. We correlated clinical characteristics, and PD-1 and PD-L1 expression on LCs and TICs with progression-free survival (PFS) and overall survival (OS).</p><p><strong>Results: </strong>Expression of PD-1 on TICs was observed in 38.4% and on LCs in 8.8% of cases, while PD-L1 was expressed on TICs in 46.8% and on LCs in 6.5% of cases. PD-L1 expression on LCs was more frequent in non-GCB subtype (p = 0.047). In addition, patients with PD-L1 expression on LCs had significantly shorter PFS (p = 0.015), and the expression retained significant in the multivariate model (p = 0.034).</p><p><strong>Conclusions: </strong>PD-L1 was more frequently expressed in LCs of the non-GCB subtype. Additionally, PD-L1 in LCs may predict shorter PFS time. D-IHC staining for PD-L1/PAX5 is a feasible method to assess PD-L1 expression on LCs of DLBCL, NOS patients and can be used to identify patients who may benefit from targeted immunotherapy with checkpoint inhibitors.</p>","PeriodicalId":21034,"journal":{"name":"Radiology and Oncology","volume":"58 1","pages":"99-109"},"PeriodicalIF":2.2000,"publicationDate":"2024-02-21","publicationTypes":"Journal Article","fieldsOfStudy":null,"isOpenAccess":false,"openAccessPdf":"https://www.ncbi.nlm.nih.gov/pmc/articles/PMC10878775/pdf/","citationCount":"0","resultStr":null,"platform":"Semanticscholar","paperid":null,"PeriodicalName":"Radiology and Oncology","FirstCategoryId":"3","ListUrlMain":"https://doi.org/10.2478/raon-2024-0010","RegionNum":4,"RegionCategory":"医学","ArticlePicture":[],"TitleCN":null,"AbstractTextCN":null,"PMCID":null,"EPubDate":"2024/3/1 0:00:00","PubModel":"eCollection","JCR":"Q3","JCRName":"ONCOLOGY","Score":null,"Total":0}
引用次数: 0

Abstract

Background: Diffuse large B-cell lymphoma, not otherwise specified (DLBCL, NOS) is the most common type non-Hodgkin's lymphoma, where the treatment of relapsed/refractory cases is the major challenge. Programmed cell death protein 1 (PD-1) and its ligand PD-L1 play a crucial role in the negative regulation of the immune response against the disease. The aim of the study was to analyze the expression of PD-1 and PD-L1 on lymphoma cells (LCs) and tumor-immune cells (TICs) and to investigate their correlation with outcome.

Patients and methods: Samples from 283 patients diagnosed with DLBCL, NOS (both germinal center B cell like [GCB] and non-GCB subtypes) were included in the study. Expression of PD-1 and PD-L1 was determined using double immunohistochemical staining (D-IHC) for PD-1/PAX5 and PD-L1/PAX5 on tissue microarrays. LCs were highlighted by D-IHC to obtain more accurate results. Clinical data and histologic diagnoses were obtained from electronic data records. We correlated clinical characteristics, and PD-1 and PD-L1 expression on LCs and TICs with progression-free survival (PFS) and overall survival (OS).

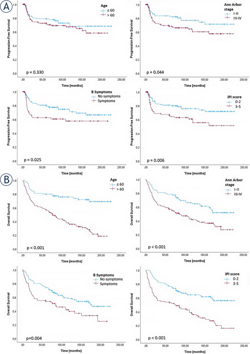
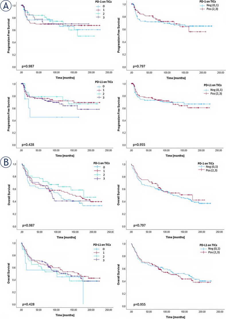
Results: Expression of PD-1 on TICs was observed in 38.4% and on LCs in 8.8% of cases, while PD-L1 was expressed on TICs in 46.8% and on LCs in 6.5% of cases. PD-L1 expression on LCs was more frequent in non-GCB subtype (p = 0.047). In addition, patients with PD-L1 expression on LCs had significantly shorter PFS (p = 0.015), and the expression retained significant in the multivariate model (p = 0.034).

Conclusions: PD-L1 was more frequently expressed in LCs of the non-GCB subtype. Additionally, PD-L1 in LCs may predict shorter PFS time. D-IHC staining for PD-L1/PAX5 is a feasible method to assess PD-L1 expression on LCs of DLBCL, NOS patients and can be used to identify patients who may benefit from targeted immunotherapy with checkpoint inhibitors.

Abstract Image

Abstract Image

Abstract Image

弥漫性大 B 细胞淋巴瘤(非特异性)中淋巴瘤细胞和肿瘤免疫细胞上的程序性细胞死亡蛋白 1 及其配体的预后意义。
背景:弥漫大 B 细胞淋巴瘤(DLBCL,NOS)是最常见的非霍奇金淋巴瘤类型,复发/难治性病例的治疗是一大挑战。程序性细胞死亡蛋白1(PD-1)及其配体PD-L1在负向调节抗病免疫反应中起着至关重要的作用。研究旨在分析淋巴瘤细胞(LCs)和肿瘤免疫细胞(TICs)上PD-1和PD-L1的表达,并研究它们与预后的相关性:研究纳入了283名确诊为DLBCL、NOS(包括生殖中心B细胞样[GCB]和非GCB亚型)患者的样本。通过组织芯片上的 PD-1/PAX5 和 PD-L1/PAX5 双重免疫组化染色(D-IHC)确定 PD-1 和 PD-L1 的表达。为了获得更准确的结果,D-IHC 对 LCs 进行了高亮显示。临床数据和组织学诊断来自电子数据记录。我们将临床特征、LCs和TICs上的PD-1和PD-L1表达与无进展生存期(PFS)和总生存期(OS)相关联:结果:38.4%的 TIC 和 8.8%的 LC 上有 PD-1 表达,46.8%的 TIC 和 6.5%的 LC 上有 PD-L1 表达。PD-L1 在 LCs 上的表达在非GCB 亚型中更为常见(p = 0.047)。此外,PD-L1在LCs上表达的患者PFS明显较短(p = 0.015),且在多变量模型中表达仍显著(p = 0.034):结论:PD-L1在非GCB亚型LCs中表达更为频繁。结论:PD-L1在非GCB亚型LCs中更常表达,此外,LCs中的PD-L1可预测较短的PFS时间。PD-L1/PAX5的D-IHC染色是评估DLBCL、NOS患者LCs中PD-L1表达的一种可行方法,可用于鉴别可能从检查点抑制剂靶向免疫疗法中获益的患者。
本文章由计算机程序翻译,如有差异,请以英文原文为准。
求助全文
约1分钟内获得全文 求助全文
来源期刊
Radiology and Oncology
Radiology and Oncology ONCOLOGY-RADIOLOGY, NUCLEAR MEDICINE & MEDICAL IMAGING
CiteScore
4.40
自引率
0.00%
发文量
42
审稿时长
>12 weeks
期刊介绍: Radiology and Oncology is a multidisciplinary journal devoted to the publishing original and high quality scientific papers and review articles, pertinent to diagnostic and interventional radiology, computerized tomography, magnetic resonance, ultrasound, nuclear medicine, radiotherapy, clinical and experimental oncology, radiobiology, medical physics and radiation protection. Therefore, the scope of the journal is to cover beside radiology the diagnostic and therapeutic aspects in oncology, which distinguishes it from other journals in the field.
×
引用
GB/T 7714-2015
复制
MLA
复制
APA
复制
导出至
BibTeX EndNote RefMan NoteFirst NoteExpress
×
提示
您的信息不完整,为了账户安全,请先补充。
现在去补充
×
提示
您因"违规操作"
具体请查看互助需知
我知道了
×
提示
确定
请完成安全验证×
copy
已复制链接
快去分享给好友吧!
我知道了
右上角分享
点击右上角分享
0
联系我们:info@booksci.cn Book学术提供免费学术资源搜索服务,方便国内外学者检索中英文文献。致力于提供最便捷和优质的服务体验。 Copyright © 2023 布克学术 All rights reserved.
京ICP备2023020795号-1
ghs 京公网安备 11010802042870号
Book学术文献互助
Book学术文献互助群
群 号:604180095
Book学术官方微信