Nurses and Climate Change: A Narrative Review of Nursing Associations' Recommendations for Integrating Climate Change Mitigation Strategies.

IF 2.9 Q2 NURSING
Canadian Journal of Nursing Research Pub Date : 2024-09-01 Epub Date: 2024-02-19 DOI:10.1177/08445621241229932
Coralie Gaudreau, Laurence Guillaumie, Édith Jobin, Thierno Amadou Diallo
{"title":"Nurses and Climate Change: A Narrative Review of Nursing Associations' Recommendations for Integrating Climate Change Mitigation Strategies.","authors":"Coralie Gaudreau, Laurence Guillaumie, Édith Jobin, Thierno Amadou Diallo","doi":"10.1177/08445621241229932","DOIUrl":null,"url":null,"abstract":"<p><strong>Background: </strong>According to the World Health Organization, climate change is the greatest challenge of the twenty-first century. It is already affecting the health of many Canadians through extreme heat, wildfires and the expansion of zoonotic diseases. As trusted professionals, nurses are in favourable position to take action on climate change.</p><p><strong>Purpose: </strong>To document the recommendations issued by Quebec, Canadian, American and international nursing associations regarding nursing practices that address climate change or environmental issues.</p><p><strong>Methods: </strong>This narrative review was conducted by establishing a list of environmental and general nursing associations in the geographical areas of interest through Google searches as well as by retrieving documents about climate change or environmental issues published by these organizations on their websites. Data related to the documents' characteristics and recommended nursing roles were then extracted.</p><p><strong>Results: </strong>The review identified 13 nurses' organizations and 20 documents describing 37 recommendations for nurses in seven socioecological areas: individual, patient-focused, workplace, nursing associations, public health organizations, political and education.</p><p><strong>Conclusions: </strong>There is a gap between the breadth of roles that nurses may be called upon to play in addressing climate change and the degree to which relevant organizations are prepared to create the required conditions for them to do so. Several lessons emerged, including that the urgency of the climate crisis requires clear guidelines on how nurses can integrate climate change and its resultant health concerns into practice through nurses' associations, education and bottom-up nursing innovations. Funding is required for such initiatives, which must also prioritize health inequalities.</p>","PeriodicalId":46661,"journal":{"name":"Canadian Journal of Nursing Research","volume":" ","pages":"193-203"},"PeriodicalIF":2.9000,"publicationDate":"2024-09-01","publicationTypes":"Journal Article","fieldsOfStudy":null,"isOpenAccess":false,"openAccessPdf":"https://www.ncbi.nlm.nih.gov/pmc/articles/PMC11308299/pdf/","citationCount":"0","resultStr":null,"platform":"Semanticscholar","paperid":null,"PeriodicalName":"Canadian Journal of Nursing Research","FirstCategoryId":"1085","ListUrlMain":"https://doi.org/10.1177/08445621241229932","RegionNum":0,"RegionCategory":null,"ArticlePicture":[],"TitleCN":null,"AbstractTextCN":null,"PMCID":null,"EPubDate":"2024/2/19 0:00:00","PubModel":"Epub","JCR":"Q2","JCRName":"NURSING","Score":null,"Total":0}
引用次数: 0

Abstract

Background: According to the World Health Organization, climate change is the greatest challenge of the twenty-first century. It is already affecting the health of many Canadians through extreme heat, wildfires and the expansion of zoonotic diseases. As trusted professionals, nurses are in favourable position to take action on climate change.

Purpose: To document the recommendations issued by Quebec, Canadian, American and international nursing associations regarding nursing practices that address climate change or environmental issues.

Methods: This narrative review was conducted by establishing a list of environmental and general nursing associations in the geographical areas of interest through Google searches as well as by retrieving documents about climate change or environmental issues published by these organizations on their websites. Data related to the documents' characteristics and recommended nursing roles were then extracted.

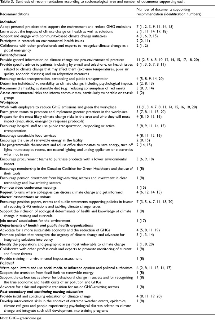
Results: The review identified 13 nurses' organizations and 20 documents describing 37 recommendations for nurses in seven socioecological areas: individual, patient-focused, workplace, nursing associations, public health organizations, political and education.

Conclusions: There is a gap between the breadth of roles that nurses may be called upon to play in addressing climate change and the degree to which relevant organizations are prepared to create the required conditions for them to do so. Several lessons emerged, including that the urgency of the climate crisis requires clear guidelines on how nurses can integrate climate change and its resultant health concerns into practice through nurses' associations, education and bottom-up nursing innovations. Funding is required for such initiatives, which must also prioritize health inequalities.

Abstract Image

Abstract Image

Abstract Image

护士与气候变化:护理协会关于整合气候变化减缓战略建议的叙述性回顾。
背景:世界卫生组织认为,气候变化是二十一世纪最大的挑战。气候变化已经通过极端高温、野火和人畜共患疾病的蔓延影响到许多加拿大人的健康。目的:记录魁北克、加拿大、美国和国际护理协会就应对气候变化或环境问题的护理实践提出的建议:本叙述性综述通过谷歌搜索建立了相关地理区域的环境和普通护理协会名单,并检索了这些组织在其网站上发布的有关气候变化或环境问题的文件。然后提取了与文件特点和推荐的护理角色相关的数据:审查确定了 13 个护士组织和 20 份文件,其中描述了 37 项针对护士的建议,涉及 7 个社会生态领域:个人、以患者为中心、工作场所、护理协会、公共卫生组织、政治和教育:护士在应对气候变化方面可能被要求发挥的作用的广度与相关组织为其创造必要条件的准备程度之间存在差距。我们从中汲取了一些经验教训,包括气候危机的紧迫性要求制定明确的指导方针,指导护士如何通过护士协会、教育和自下而上的护理创新,将气候变化及其引发的健康问题纳入实践。这些举措需要资金,还必须优先考虑健康不平等问题。
本文章由计算机程序翻译,如有差异,请以英文原文为准。
求助全文
约1分钟内获得全文 求助全文
来源期刊
CiteScore
4.00
自引率
4.80%
发文量
32
期刊介绍: We are pleased to announce the launch of the CJNR digital archive, an online archive available through the McGill University Library, and hosted by the McGill University Library Digital Collections Program in perpetuity. This archive has been made possible through a Richard M. Tomlinson Digital Library Innovation and Access Award to the McGill School of Nursing. The Richard M. Tomlinson award recognizes the ongoing contribution and commitment the CJNR has made to the McGill School of Nursing, and to the development and nursing science in Canada and worldwide. We hope this archive proves to be an invaluable research tool for researchers in Nursing and other faculties.
×
引用
GB/T 7714-2015
复制
MLA
复制
APA
复制
导出至
BibTeX EndNote RefMan NoteFirst NoteExpress
×
提示
您的信息不完整,为了账户安全,请先补充。
现在去补充
×
提示
您因"违规操作"
具体请查看互助需知
我知道了
×
提示
确定
请完成安全验证×
copy
已复制链接
快去分享给好友吧!
我知道了
右上角分享
点击右上角分享
0
联系我们:info@booksci.cn Book学术提供免费学术资源搜索服务,方便国内外学者检索中英文文献。致力于提供最便捷和优质的服务体验。 Copyright © 2023 布克学术 All rights reserved.
京ICP备2023020795号-1
ghs 京公网安备 11010802042870号
Book学术文献互助
Book学术文献互助群
群 号:604180095
Book学术官方微信