Lippia sidoides essential oil at concentration of 0.25% provided improvements in microbiota and intestine integrity of Danio rerio.

Brazilian journal of veterinary medicine Pub Date : 2024-02-14 eCollection Date: 2024-01-01 DOI:10.29374/2527-2179.bjvm005323
Lucas Cardoso, Marco Shizuo Owatari, Francisco Célio Maia Chaves, Tamiris Henrique Ferreira, Domickson Silva Costa, William Eduardo Furtado, Marília Tedesco, Luciana Aparecida Honorato, José Luiz Pedreira Mouriño, Maurício Laterça Martins
{"title":"Lippia sidoides essential oil at concentration of 0.25% provided improvements in microbiota and intestine integrity of Danio rerio.","authors":"Lucas Cardoso, Marco Shizuo Owatari, Francisco Célio Maia Chaves, Tamiris Henrique Ferreira, Domickson Silva Costa, William Eduardo Furtado, Marília Tedesco, Luciana Aparecida Honorato, José Luiz Pedreira Mouriño, Maurício Laterça Martins","doi":"10.29374/2527-2179.bjvm005323","DOIUrl":null,"url":null,"abstract":"<p><p>The study evaluated the effects of dietary supplementation with <i>Lippia sidoides</i> essential oil on the microbiota and intestinal morphology of <i>Danio rerio</i>. For this, 448 fish were randomly distributed in 28 tanks divided into a control group fed a commercial diet without supplementation, a group fed a commercial diet containing grain alcohol and five groups fed a commercial diet containing essential oil of <i>L. sidoides</i> (LSEO) at concentrations of 0.25%, 0.50%, 0.75%, 1.00% and 1.25%. After the period of dietary supplementation, biological materials were collected for microbiological and histological analyses. There were no significant differences regarding the microbiological count between the groups. Diversity of the microbiome was higher in 0.25% group than in control group. LSEO inhibited the growth of potentially pathogenic bacteria. Fish fed LSEO<sub>0.25%</sub> showed greater intestinal histomorphometric indices. The inclusion of LSEO at 0.25% in the diet of <i>D. rerio</i> provided improvements in fish microbiota and intestine integrity.</p>","PeriodicalId":72458,"journal":{"name":"Brazilian journal of veterinary medicine","volume":"46 ","pages":"e005323"},"PeriodicalIF":0.0000,"publicationDate":"2024-02-14","publicationTypes":"Journal Article","fieldsOfStudy":null,"isOpenAccess":false,"openAccessPdf":"https://www.ncbi.nlm.nih.gov/pmc/articles/PMC10868529/pdf/","citationCount":"0","resultStr":null,"platform":"Semanticscholar","paperid":null,"PeriodicalName":"Brazilian journal of veterinary medicine","FirstCategoryId":"1085","ListUrlMain":"https://doi.org/10.29374/2527-2179.bjvm005323","RegionNum":0,"RegionCategory":null,"ArticlePicture":[],"TitleCN":null,"AbstractTextCN":null,"PMCID":null,"EPubDate":"2024/1/1 0:00:00","PubModel":"eCollection","JCR":"","JCRName":"","Score":null,"Total":0}
引用次数: 0

Abstract

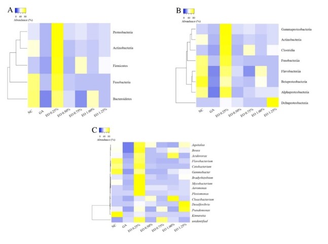
The study evaluated the effects of dietary supplementation with Lippia sidoides essential oil on the microbiota and intestinal morphology of Danio rerio. For this, 448 fish were randomly distributed in 28 tanks divided into a control group fed a commercial diet without supplementation, a group fed a commercial diet containing grain alcohol and five groups fed a commercial diet containing essential oil of L. sidoides (LSEO) at concentrations of 0.25%, 0.50%, 0.75%, 1.00% and 1.25%. After the period of dietary supplementation, biological materials were collected for microbiological and histological analyses. There were no significant differences regarding the microbiological count between the groups. Diversity of the microbiome was higher in 0.25% group than in control group. LSEO inhibited the growth of potentially pathogenic bacteria. Fish fed LSEO0.25% showed greater intestinal histomorphometric indices. The inclusion of LSEO at 0.25% in the diet of D. rerio provided improvements in fish microbiota and intestine integrity.

Abstract Image

Abstract Image

Abstract Image

浓度为 0.25% 的茜草精油可改善丹利欧的微生物群和肠道完整性。
该研究评估了膳食中添加茜草精油对丹顶鹤微生物群和肠道形态的影响。为此,研究人员将 448 尾鱼随机分配到 28 个鱼缸中,分为未添加补充剂的商品饲料对照组、含有谷物酒精的商品饲料组和含有茜草精油(LSEO)(浓度分别为 0.25%、0.50%、0.75%、1.00% 和 1.25%)的商品饲料五组。膳食补充期结束后,收集生物材料进行微生物学和组织学分析。各组之间的微生物数量没有明显差异。0.25% 组的微生物群多样性高于对照组。LSEO可抑制潜在致病菌的生长。喂食0.25%LSEO的鱼显示出更高的肠道组织形态指数。在 D. rerio 的食物中添加 0.25% 的 LSEO 可改善鱼类微生物群和肠道完整性。
本文章由计算机程序翻译,如有差异,请以英文原文为准。
求助全文
约1分钟内获得全文 求助全文
来源期刊
自引率
0.00%
发文量
0
×
引用
GB/T 7714-2015
复制
MLA
复制
APA
复制
导出至
BibTeX EndNote RefMan NoteFirst NoteExpress
×
提示
您的信息不完整,为了账户安全,请先补充。
现在去补充
×
提示
您因"违规操作"
具体请查看互助需知
我知道了
×
提示
确定
请完成安全验证×
copy
已复制链接
快去分享给好友吧!
我知道了
右上角分享
点击右上角分享
0
联系我们:info@booksci.cn Book学术提供免费学术资源搜索服务,方便国内外学者检索中英文文献。致力于提供最便捷和优质的服务体验。 Copyright © 2023 布克学术 All rights reserved.
京ICP备2023020795号-1
ghs 京公网安备 11010802042870号
Book学术文献互助
Book学术文献互助群
群 号:604180095
Book学术官方微信