Long-Term Resveratrol Intake for Cognitive and Cerebral Blood Flow Impairment in Carotid Artery Stenosis/Occlusion.

IF 8.6 1区 医学 Q1 CLINICAL NEUROLOGY
Journal of Stroke Pub Date : 2024-01-01 Epub Date: 2024-01-30 DOI:10.5853/jos.2023.02733
Yorito Hattori, Yoshinori Kakino, Yuji Hattori, Mari Iwashita, Hitoshi Uchiyama, Kotaro Noda, Takeshi Yoshimoto, Hidehiro Iida, Masafumi Ihara
{"title":"Long-Term Resveratrol Intake for Cognitive and Cerebral Blood Flow Impairment in Carotid Artery Stenosis/Occlusion.","authors":"Yorito Hattori, Yoshinori Kakino, Yuji Hattori, Mari Iwashita, Hitoshi Uchiyama, Kotaro Noda, Takeshi Yoshimoto, Hidehiro Iida, Masafumi Ihara","doi":"10.5853/jos.2023.02733","DOIUrl":null,"url":null,"abstract":"<p><strong>Background and purpose: </strong>Carotid artery stenosis or occlusion (CASO) is a causative disease of vascular cognitive impairment (VCI) attributed to cerebral hypoperfusion, even without the development of symptomatic ischemic stroke. Preclinically, resveratrol has been demonstrated to play an important role in improving cognitive function in rodent CASO models. This study investigated the association between long-term resveratrol intake and improvements in cognitive and cerebral hemodynamic impairments in patients with CASO.</p><p><strong>Methods: </strong>A retrospective cohort study was conducted on patients with asymptomatic carotid artery stenosis of ≥50% or occlusion who underwent 15O-gas positron emission tomography (15O-gas PET) and neuropsychological tests such as Montreal Cognitive Assessment (MoCA) and Alzheimer's Disease Assessment Scale-Cognitive Subscale 13 (ADAS-Cog) twice between July 2020 and March 2022 allowing >125-day interval. Patients were administered 30 mg/day resveratrol after the first 15O-gas PET and neuropsychological tests were compared with those who were not.</p><p><strong>Results: </strong>A total of 79 patients were enrolled in this study; 36 received resveratrol and 43 did not. Over a mean follow-up of 221.2 and 244.8 days, long-term resveratrol treatment significantly improved visuospatial/executive function (P=0.020) in MoCA, and memory domain (P=0.007) and total score (P=0.019) in ADAS-Cog. Cerebral blood flow demonstrated improvement in the right frontal lobe (P=0.027), left lenticular nucleus (P=0.009), right thalamus (P=0.035), and left thalamus (P=0.010) on 15O-gas PET. No adverse events were reported.</p><p><strong>Conclusion: </strong>Long-term daily intake of oral resveratrol may prevent or treat VCI by improving the cerebral blood flow in asymptomatic patients with CASO.</p>","PeriodicalId":17135,"journal":{"name":"Journal of Stroke","volume":"26 1","pages":"64-74"},"PeriodicalIF":8.6000,"publicationDate":"2024-01-01","publicationTypes":"Journal Article","fieldsOfStudy":null,"isOpenAccess":false,"openAccessPdf":"https://www.ncbi.nlm.nih.gov/pmc/articles/PMC10850448/pdf/","citationCount":"0","resultStr":null,"platform":"Semanticscholar","paperid":null,"PeriodicalName":"Journal of Stroke","FirstCategoryId":"3","ListUrlMain":"https://doi.org/10.5853/jos.2023.02733","RegionNum":1,"RegionCategory":"医学","ArticlePicture":[],"TitleCN":null,"AbstractTextCN":null,"PMCID":null,"EPubDate":"2024/1/30 0:00:00","PubModel":"Epub","JCR":"Q1","JCRName":"CLINICAL NEUROLOGY","Score":null,"Total":0}
引用次数: 0

Abstract

Background and purpose: Carotid artery stenosis or occlusion (CASO) is a causative disease of vascular cognitive impairment (VCI) attributed to cerebral hypoperfusion, even without the development of symptomatic ischemic stroke. Preclinically, resveratrol has been demonstrated to play an important role in improving cognitive function in rodent CASO models. This study investigated the association between long-term resveratrol intake and improvements in cognitive and cerebral hemodynamic impairments in patients with CASO.

Methods: A retrospective cohort study was conducted on patients with asymptomatic carotid artery stenosis of ≥50% or occlusion who underwent 15O-gas positron emission tomography (15O-gas PET) and neuropsychological tests such as Montreal Cognitive Assessment (MoCA) and Alzheimer's Disease Assessment Scale-Cognitive Subscale 13 (ADAS-Cog) twice between July 2020 and March 2022 allowing >125-day interval. Patients were administered 30 mg/day resveratrol after the first 15O-gas PET and neuropsychological tests were compared with those who were not.

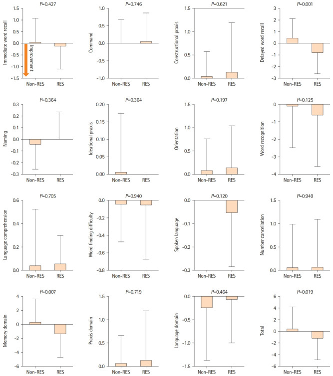
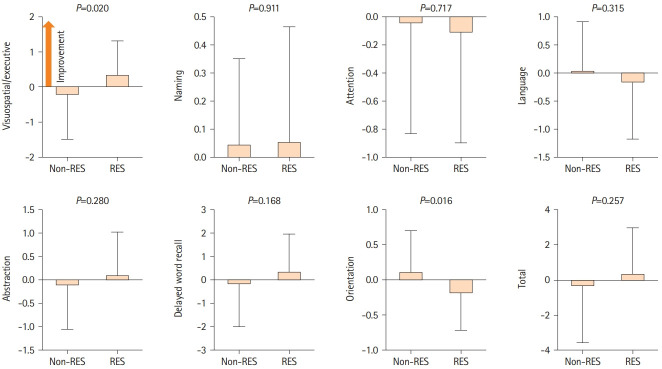
Results: A total of 79 patients were enrolled in this study; 36 received resveratrol and 43 did not. Over a mean follow-up of 221.2 and 244.8 days, long-term resveratrol treatment significantly improved visuospatial/executive function (P=0.020) in MoCA, and memory domain (P=0.007) and total score (P=0.019) in ADAS-Cog. Cerebral blood flow demonstrated improvement in the right frontal lobe (P=0.027), left lenticular nucleus (P=0.009), right thalamus (P=0.035), and left thalamus (P=0.010) on 15O-gas PET. No adverse events were reported.

Conclusion: Long-term daily intake of oral resveratrol may prevent or treat VCI by improving the cerebral blood flow in asymptomatic patients with CASO.

Abstract Image

Abstract Image

Abstract Image

长期摄入白藜芦醇改善颈动脉狭窄/闭塞患者的认知能力和脑血流量损伤
背景和目的:颈动脉狭窄或闭塞(CASO)是血管性认知障碍(VCI)的致病因素,其原因是脑灌注不足,即使没有发生无症状的缺血性中风。临床前研究表明,白藜芦醇在啮齿类 CASO 模型中改善认知功能方面发挥了重要作用。本研究调查了长期摄入白藜芦醇与改善 CASO 患者认知和脑血流动力学损伤之间的关系:该研究对无症状颈动脉狭窄≥50%或闭塞的患者进行了回顾性队列研究,这些患者在2020年7月至2022年3月期间接受了两次15O-gas正电子发射断层扫描(15O-gas PET)和神经心理学测试,如蒙特利尔认知评估(MoCA)和阿尔茨海默病评估量表-认知分量表13(ADAS-Cog),间隔时间大于125天。在第一次15O-气体PET和神经心理学测试后,患者每天服用30毫克白藜芦醇,并与未服用白藜芦醇的患者进行比较:共有 79 名患者参与了这项研究,其中 36 人服用了白藜芦醇,43 人未服用。在平均221.2天和244.8天的随访中,长期白藜芦醇治疗显著改善了MoCA的视觉空间/执行功能(P=0.020)、ADAS-Cog的记忆域(P=0.007)和总分(P=0.019)。15O-气体正电子发射计算机断层扫描显示,右额叶(P=0.027)、左侧扁桃体核(P=0.009)、右侧丘脑(P=0.035)和左侧丘脑(P=0.010)的脑血流量均有所改善。无不良反应报告:结论:每天长期口服白藜芦醇可改善无症状 CASO 患者的脑血流量,从而预防或治疗 VCI。
本文章由计算机程序翻译,如有差异,请以英文原文为准。
求助全文
约1分钟内获得全文 求助全文
来源期刊
Journal of Stroke
Journal of Stroke CLINICAL NEUROLOGYPERIPHERAL VASCULAR DISE-PERIPHERAL VASCULAR DISEASE
CiteScore
11.00
自引率
3.70%
发文量
52
审稿时长
12 weeks
期刊介绍: The Journal of Stroke (JoS) is a peer-reviewed publication that focuses on clinical and basic investigation of cerebral circulation and associated diseases in stroke-related fields. Its aim is to enhance patient management, education, clinical or experimental research, and professionalism. The journal covers various areas of stroke research, including pathophysiology, risk factors, symptomatology, imaging, treatment, and rehabilitation. Basic science research is included when it provides clinically relevant information. The JoS is particularly interested in studies that highlight characteristics of stroke in the Asian population, as they are underrepresented in the literature. The JoS had an impact factor of 8.2 in 2022 and aims to provide high-quality research papers to readers while maintaining a strong reputation. It is published three times a year, on the last day of January, May, and September. The online version of the journal is considered the main version as it includes all available content. Supplementary issues are occasionally published. The journal is indexed in various databases, including SCI(E), Pubmed, PubMed Central, Scopus, KoreaMed, Komci, Synapse, Science Central, Google Scholar, and DOI/Crossref. It is also the official journal of the Korean Stroke Society since 1999, with the abbreviated title J Stroke.
×
引用
GB/T 7714-2015
复制
MLA
复制
APA
复制
导出至
BibTeX EndNote RefMan NoteFirst NoteExpress
×
提示
您的信息不完整,为了账户安全,请先补充。
现在去补充
×
提示
您因"违规操作"
具体请查看互助需知
我知道了
×
提示
确定
请完成安全验证×
copy
已复制链接
快去分享给好友吧!
我知道了
右上角分享
点击右上角分享
0
联系我们:info@booksci.cn Book学术提供免费学术资源搜索服务,方便国内外学者检索中英文文献。致力于提供最便捷和优质的服务体验。 Copyright © 2023 布克学术 All rights reserved.
京ICP备2023020795号-1
ghs 京公网安备 11010802042870号
Book学术文献互助
Book学术文献互助群
群 号:604180095
Book学术官方微信