Comparability Evaluation of Three Benchtop Glucose Analyzers With the Recently Withdrawn YSI 2300 Stat Plus.

IF 3.7 Q2 ENDOCRINOLOGY & METABOLISM
Gareth J Dunseath, Iulius-Dumitru Vatavu, Stephen D Luzio
{"title":"Comparability Evaluation of Three Benchtop Glucose Analyzers With the Recently Withdrawn YSI 2300 Stat Plus.","authors":"Gareth J Dunseath, Iulius-Dumitru Vatavu, Stephen D Luzio","doi":"10.1177/19322968241230337","DOIUrl":null,"url":null,"abstract":"<p><strong>Background: </strong>We compared the performance of three currently available laboratory benchtop glucose analyzers with the outgoing YSI 2300 Stat Plus.</p><p><strong>Methods: </strong>Plasma samples (100), across a wide glucose concentration range were analysed on the YSI 2500, Randox daytona+ (glucose oxidase) and EKF Biosen in a single laboratory and compared to the YSI 2300 Stat Plus.</p><p><strong>Results: </strong>All three analyzers showed good agreement with the YSI 2300 Stat Plus, and only a small bias (≤1% YSI 2500 and Randox daytona+, 4.6% EKF Biosen) was observed for each analyzer. None of the three comparator analyzers were affected by either proportional or constant bias, thus no significant differences between the YSI 2300 Stat Plus and the comparator methods were identified.</p><p><strong>Conclusions: </strong>The results from this study suggest all could be considered as suitable reference laboratory glucose analyzers and replacements for the recently withdrawn YSI 2300 Stat Plus.</p>","PeriodicalId":15475,"journal":{"name":"Journal of Diabetes Science and Technology","volume":" ","pages":"1068-1071"},"PeriodicalIF":3.7000,"publicationDate":"2025-07-01","publicationTypes":"Journal Article","fieldsOfStudy":null,"isOpenAccess":false,"openAccessPdf":"https://www.ncbi.nlm.nih.gov/pmc/articles/PMC11572045/pdf/","citationCount":"0","resultStr":null,"platform":"Semanticscholar","paperid":null,"PeriodicalName":"Journal of Diabetes Science and Technology","FirstCategoryId":"1085","ListUrlMain":"https://doi.org/10.1177/19322968241230337","RegionNum":0,"RegionCategory":null,"ArticlePicture":[],"TitleCN":null,"AbstractTextCN":null,"PMCID":null,"EPubDate":"2024/2/8 0:00:00","PubModel":"Epub","JCR":"Q2","JCRName":"ENDOCRINOLOGY & METABOLISM","Score":null,"Total":0}
引用次数: 0

Abstract

Background: We compared the performance of three currently available laboratory benchtop glucose analyzers with the outgoing YSI 2300 Stat Plus.

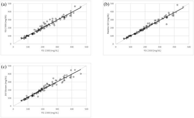
Methods: Plasma samples (100), across a wide glucose concentration range were analysed on the YSI 2500, Randox daytona+ (glucose oxidase) and EKF Biosen in a single laboratory and compared to the YSI 2300 Stat Plus.

Results: All three analyzers showed good agreement with the YSI 2300 Stat Plus, and only a small bias (≤1% YSI 2500 and Randox daytona+, 4.6% EKF Biosen) was observed for each analyzer. None of the three comparator analyzers were affected by either proportional or constant bias, thus no significant differences between the YSI 2300 Stat Plus and the comparator methods were identified.

Conclusions: The results from this study suggest all could be considered as suitable reference laboratory glucose analyzers and replacements for the recently withdrawn YSI 2300 Stat Plus.

Abstract Image

Abstract Image

Abstract Image

三种台式葡萄糖分析仪与最近停产的 YSI 2300 Stat Plus 的可比性评估。
背景:我们比较了三种现有实验室台式葡萄糖分析仪与即将推出的 YSI 2300 Stat Plus 的性能:方法:在一个实验室中,用 YSI 2500、Randox daytona+(葡萄糖氧化酶)和 EKF Biosen 分析了血浆样本(100 份),血浆样本的葡萄糖浓度范围很宽,并与 YSI 2300 Stat Plus 进行了比较:结果:所有三种分析仪与 YSI 2300 Stat Plus 的一致性都很好,每种分析仪都只有很小的偏差(YSI 2500 和 Randox daytona+≤1%,EKF Biosen 4.6%)。三台比较分析仪都没有受到比例偏差或恒定偏差的影响,因此没有发现 YSI 2300 Stat Plus 与比较方法之间的显著差异:这项研究的结果表明,所有这些分析仪都可被视为合适的参考实验室葡萄糖分析仪,并可替代最近停产的 YSI 2300 Stat Plus。
本文章由计算机程序翻译,如有差异,请以英文原文为准。
求助全文
约1分钟内获得全文 求助全文
来源期刊
Journal of Diabetes Science and Technology
Journal of Diabetes Science and Technology Medicine-Internal Medicine
CiteScore
7.50
自引率
12.00%
发文量
148
期刊介绍: The Journal of Diabetes Science and Technology (JDST) is a bi-monthly, peer-reviewed scientific journal published by the Diabetes Technology Society. JDST covers scientific and clinical aspects of diabetes technology including glucose monitoring, insulin and metabolic peptide delivery, the artificial pancreas, digital health, precision medicine, social media, cybersecurity, software for modeling, physiologic monitoring, technology for managing obesity, and diagnostic tests of glycation. The journal also covers the development and use of mobile applications and wireless communication, as well as bioengineered tools such as MEMS, new biomaterials, and nanotechnology to develop new sensors. Articles in JDST cover both basic research and clinical applications of technologies being developed to help people with diabetes.
×
引用
GB/T 7714-2015
复制
MLA
复制
APA
复制
导出至
BibTeX EndNote RefMan NoteFirst NoteExpress
×
提示
您的信息不完整,为了账户安全,请先补充。
现在去补充
×
提示
您因"违规操作"
具体请查看互助需知
我知道了
×
提示
确定
请完成安全验证×
copy
已复制链接
快去分享给好友吧!
我知道了
右上角分享
点击右上角分享
0
联系我们:info@booksci.cn Book学术提供免费学术资源搜索服务,方便国内外学者检索中英文文献。致力于提供最便捷和优质的服务体验。 Copyright © 2023 布克学术 All rights reserved.
京ICP备2023020795号-1
ghs 京公网安备 11010802042870号
Book学术文献互助
Book学术文献互助群
群 号:604180095
Book学术官方微信