Evaluation of an automated platelet aggregation method for detection of congenital or acquired platelet function defects.

IF 2.3 3区 医学 Q2 HEMATOLOGY
Anna Lecchi, Marco Capecchi, Lidia Padovan, Andrea Artoni, Nobuo Arai, Sho Shinohara, Silvia La Marca, Flora Peyvandi
{"title":"Evaluation of an automated platelet aggregation method for detection of congenital or acquired platelet function defects.","authors":"Anna Lecchi, Marco Capecchi, Lidia Padovan, Andrea Artoni, Nobuo Arai, Sho Shinohara, Silvia La Marca, Flora Peyvandi","doi":"10.2450/BloodTransfus.601","DOIUrl":null,"url":null,"abstract":"<p><strong>Background: </strong>Light transmission aggregometry (LTA) is the most widely used laboratory method for an initial screening of patients with a suspected platelet function defect (PFD), and its use has also been proposed for assessing the efficacy of antiplatelet treatment (APT). An automated LTA method has been developed by Sysmex (Kobe, Japan) on a routine coagulation analyzer (CS-2400), together with a new research parameter called PAL (platelet aggregation level) to evaluate patients on APT.</p><p><strong>Materials and methods: </strong>We evaluated the performance of CS-2400 compared to a stand-alone lumi-dual-aggregometer device in the diagnosis of PFD and in assessing the efficacy of APT. For these purposes, the study population was represented by a cohort of 23 patients with a previous diagnosis of PFD and a cohort of 28 patients on APT.</p><p><strong>Results: </strong>Compared to healthy volunteers, patients with PFD showed a statistically significant reduction (p<0.05) in the maximal %light transmission, irrespective of the agonist used, both with the CS-2400 and the lumi-dual-aggregometer. As regards PFD patients, CS-2400 was effective in identifying the more severe defects, with a good sensibility and specificity, but less effective in identifying milder forms of PFD, such as platelet secretion defects. Patients on APT showed a statistically significant (p=0.001) reduced median %light transmission and PAL scores compared to healthy controls.</p><p><strong>Discussion: </strong>Thanks to this LTA technology, CS-2400, a routine coagulation analyzer widely available in routine laboratories, could prove useful for initial assessment of patients with a suspected PFD. Moreover, the PAL scores were a fairly accurate reflection of the platelet response to APT.</p>","PeriodicalId":49260,"journal":{"name":"Blood Transfusion","volume":" ","pages":"350-359"},"PeriodicalIF":2.3000,"publicationDate":"2024-07-21","publicationTypes":"Journal Article","fieldsOfStudy":null,"isOpenAccess":false,"openAccessPdf":"https://www.ncbi.nlm.nih.gov/pmc/articles/PMC11251833/pdf/","citationCount":"0","resultStr":null,"platform":"Semanticscholar","paperid":null,"PeriodicalName":"Blood Transfusion","FirstCategoryId":"3","ListUrlMain":"https://doi.org/10.2450/BloodTransfus.601","RegionNum":3,"RegionCategory":"医学","ArticlePicture":[],"TitleCN":null,"AbstractTextCN":null,"PMCID":null,"EPubDate":"","PubModel":"","JCR":"Q2","JCRName":"HEMATOLOGY","Score":null,"Total":0}
引用次数: 0

Abstract

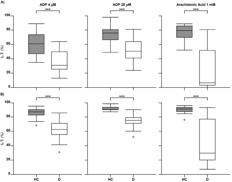
Background: Light transmission aggregometry (LTA) is the most widely used laboratory method for an initial screening of patients with a suspected platelet function defect (PFD), and its use has also been proposed for assessing the efficacy of antiplatelet treatment (APT). An automated LTA method has been developed by Sysmex (Kobe, Japan) on a routine coagulation analyzer (CS-2400), together with a new research parameter called PAL (platelet aggregation level) to evaluate patients on APT.

Materials and methods: We evaluated the performance of CS-2400 compared to a stand-alone lumi-dual-aggregometer device in the diagnosis of PFD and in assessing the efficacy of APT. For these purposes, the study population was represented by a cohort of 23 patients with a previous diagnosis of PFD and a cohort of 28 patients on APT.

Results: Compared to healthy volunteers, patients with PFD showed a statistically significant reduction (p<0.05) in the maximal %light transmission, irrespective of the agonist used, both with the CS-2400 and the lumi-dual-aggregometer. As regards PFD patients, CS-2400 was effective in identifying the more severe defects, with a good sensibility and specificity, but less effective in identifying milder forms of PFD, such as platelet secretion defects. Patients on APT showed a statistically significant (p=0.001) reduced median %light transmission and PAL scores compared to healthy controls.

Discussion: Thanks to this LTA technology, CS-2400, a routine coagulation analyzer widely available in routine laboratories, could prove useful for initial assessment of patients with a suspected PFD. Moreover, the PAL scores were a fairly accurate reflection of the platelet response to APT.

Abstract Image

Abstract Image

Abstract Image

评估用于检测先天性或后天性血小板功能缺陷的自动血小板聚集方法。
背景:透射光聚集测定法(LTA)是用于初步筛查疑似血小板功能缺陷(PFD)患者的最广泛的实验室方法,也被建议用于评估抗血小板治疗(APT)的疗效。Sysmex 公司(日本神户)在一台常规凝血分析仪(CS-2400)上开发了一种自动 LTA 方法,该方法与一种名为 PAL(血小板聚集水平)的新研究参数一起用于评估接受 APT 治疗的患者:我们评估了 CS-2400 在诊断 PFD 和评估 APT 疗效方面与独立的 Lumi-dual-aggregometer 设备相比的性能。为此,研究对象包括 23 名既往诊断为 PFD 的患者和 28 名接受 APT 的患者:结果:与健康志愿者相比,PFD 患者的血压下降(pD)具有统计学意义:由于采用了这项 LTA 技术,CS-2400 这款在常规实验室中广泛使用的常规凝血分析仪可证明有助于对疑似 PFD 患者进行初步评估。此外,PAL 评分相当准确地反映了血小板对 APT 的反应。
本文章由计算机程序翻译,如有差异,请以英文原文为准。
求助全文
约1分钟内获得全文 求助全文
来源期刊
Blood Transfusion
Blood Transfusion HEMATOLOGY-
CiteScore
6.10
自引率
2.70%
发文量
91
审稿时长
2 months
期刊介绍: Blood Transfusion welcomes international submissions of Original Articles, Review Articles, Case Reports and Letters on all the fields related to Transfusion Medicine.
×
引用
GB/T 7714-2015
复制
MLA
复制
APA
复制
导出至
BibTeX EndNote RefMan NoteFirst NoteExpress
×
提示
您的信息不完整,为了账户安全,请先补充。
现在去补充
×
提示
您因"违规操作"
具体请查看互助需知
我知道了
×
提示
确定
请完成安全验证×
copy
已复制链接
快去分享给好友吧!
我知道了
右上角分享
点击右上角分享
0
联系我们:info@booksci.cn Book学术提供免费学术资源搜索服务,方便国内外学者检索中英文文献。致力于提供最便捷和优质的服务体验。 Copyright © 2023 布克学术 All rights reserved.
京ICP备2023020795号-1
ghs 京公网安备 11010802042870号
Book学术文献互助
Book学术文献互助群
群 号:604180095
Book学术官方微信