Immunoprotective Effect of Liver Allograft on Patients with Combined Liver and Kidney Transplantation.

IF 1.4 4区 医学 Q3 SURGERY
Joon-Young Kim, Hye Bin Kim, Jin-Myung Kim, Hye Eun Kwon, Young Hoon Kim, Youngmin Ko, Frances S Sung, Joo Hee Jung, Chung Hee Baek, Hyosang Kim, Su-Kil Park, Sung Shin, Hyunwook Kwon
{"title":"Immunoprotective Effect of Liver Allograft on Patients with Combined Liver and Kidney Transplantation.","authors":"Joon-Young Kim, Hye Bin Kim, Jin-Myung Kim, Hye Eun Kwon, Young Hoon Kim, Youngmin Ko, Frances S Sung, Joo Hee Jung, Chung Hee Baek, Hyosang Kim, Su-Kil Park, Sung Shin, Hyunwook Kwon","doi":"10.12659/AOT.942763","DOIUrl":null,"url":null,"abstract":"<p><p>BACKGROUND Simultaneous liver-kidney transplantation (SLKT) and kidney transplantation (KT) after liver transplantation (LT) provide potential treatment options for patients with end-stage liver and kidney disease. There is increasing attention being given to liver-kidney transplantation (LTKT), particularly regarding the immune-protective effects of the liver graft. This retrospective, single-center, observational study aimed to evaluate the clinical outcomes of KT in LTKT patients - either SLKT or KT after LT (KALT) - compared to KT alone (KTA). MATERIAL AND METHODS We included patients who underwent KT between January 2005 and December 2020, comprising a total of 4312 patients divided into KTA (n=4268) and LTKT (n=44) groups. The LTKT group included 11 SLKT and 33 KALT patients. To balance the difference in sample sizes between the 2 groups, we performed 3: 1 propensity score matching (PSM). RESULTS There was no significant difference in graft survival between the groups. However, the LTKT group exhibited significantly superior rejection-free survival compared to the KTA group (P.</p>","PeriodicalId":7935,"journal":{"name":"Annals of Transplantation","volume":"29 ","pages":"e942763"},"PeriodicalIF":1.4000,"publicationDate":"2024-02-06","publicationTypes":"Journal Article","fieldsOfStudy":null,"isOpenAccess":false,"openAccessPdf":"https://www.ncbi.nlm.nih.gov/pmc/articles/PMC10858615/pdf/","citationCount":"0","resultStr":null,"platform":"Semanticscholar","paperid":null,"PeriodicalName":"Annals of Transplantation","FirstCategoryId":"3","ListUrlMain":"https://doi.org/10.12659/AOT.942763","RegionNum":4,"RegionCategory":"医学","ArticlePicture":[],"TitleCN":null,"AbstractTextCN":null,"PMCID":null,"EPubDate":"","PubModel":"","JCR":"Q3","JCRName":"SURGERY","Score":null,"Total":0}
引用次数: 0

Abstract

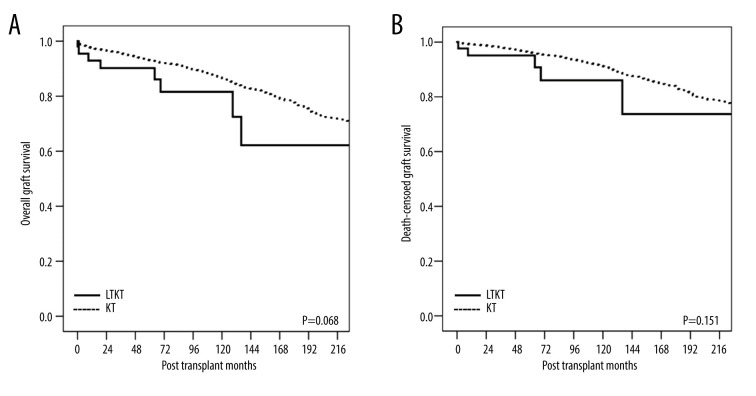
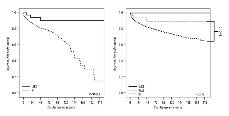
BACKGROUND Simultaneous liver-kidney transplantation (SLKT) and kidney transplantation (KT) after liver transplantation (LT) provide potential treatment options for patients with end-stage liver and kidney disease. There is increasing attention being given to liver-kidney transplantation (LTKT), particularly regarding the immune-protective effects of the liver graft. This retrospective, single-center, observational study aimed to evaluate the clinical outcomes of KT in LTKT patients - either SLKT or KT after LT (KALT) - compared to KT alone (KTA). MATERIAL AND METHODS We included patients who underwent KT between January 2005 and December 2020, comprising a total of 4312 patients divided into KTA (n=4268) and LTKT (n=44) groups. The LTKT group included 11 SLKT and 33 KALT patients. To balance the difference in sample sizes between the 2 groups, we performed 3: 1 propensity score matching (PSM). RESULTS There was no significant difference in graft survival between the groups. However, the LTKT group exhibited significantly superior rejection-free survival compared to the KTA group (P.

Abstract Image

Abstract Image

Abstract Image

肝移植对肝肾联合移植患者的免疫保护作用
背景 肝移植(LT)后同时进行肝肾移植(SLKT)和肾移植(KT)为终末期肝肾疾病患者提供了潜在的治疗选择。人们越来越关注肝肾移植(LTKT),尤其是肝脏移植的免疫保护作用。这项回顾性、单中心观察性研究旨在评估肝肾移植(LTKT)患者的临床疗效(SLKT或LT后KT(KALT))与单纯KT(KTA)的比较。材料和方法 我们纳入了 2005 年 1 月至 2020 年 12 月期间接受 KT 的患者,共计 4312 人,分为 KTA 组(n=4268)和 LTKT 组(n=44)。LTKT 组包括 11 名 SLKT 和 33 名 KALT 患者。为了平衡两组样本量的差异,我们进行了 3:1 倾向评分匹配(PSM)。结果 两组的移植物存活率无明显差异。但是,与 KTA 组相比,LTKT 组的无排斥反应存活率明显更高(P.
本文章由计算机程序翻译,如有差异,请以英文原文为准。
求助全文
约1分钟内获得全文 求助全文
来源期刊
CiteScore
2.50
自引率
0.00%
发文量
79
审稿时长
>12 weeks
期刊介绍: Annals of Transplantation is one of the fast-developing journals open to all scientists and fields of transplant medicine and related research. The journal is published quarterly and provides extensive coverage of the most important advances in transplantation. Using an electronic on-line submission and peer review tracking system, Annals of Transplantation is committed to rapid review and publication. The average time to first decision is around 3-4 weeks. Time to publication of accepted manuscripts continues to be shortened, with the Editorial team committed to a goal of 3 months from acceptance to publication. Expert reseachers and clinicians from around the world contribute original Articles, Review Papers, Case Reports and Special Reports in every pertinent specialty, providing a lot of arguments for discussion of exciting developments and controversies in the field.
×
引用
GB/T 7714-2015
复制
MLA
复制
APA
复制
导出至
BibTeX EndNote RefMan NoteFirst NoteExpress
×
提示
您的信息不完整,为了账户安全,请先补充。
现在去补充
×
提示
您因"违规操作"
具体请查看互助需知
我知道了
×
提示
确定
请完成安全验证×
copy
已复制链接
快去分享给好友吧!
我知道了
右上角分享
点击右上角分享
0
联系我们:info@booksci.cn Book学术提供免费学术资源搜索服务,方便国内外学者检索中英文文献。致力于提供最便捷和优质的服务体验。 Copyright © 2023 布克学术 All rights reserved.
京ICP备2023020795号-1
ghs 京公网安备 11010802042870号
Book学术文献互助
Book学术文献互助群
群 号:604180095
Book学术官方微信