Expression of Relaxin Family Peptide Receptors 1 and 3 in the Ovarian Follicle of Japanese Quail.

IF 1.6 4区 农林科学 Q2 AGRICULTURE, DAIRY & ANIMAL SCIENCE
Journal of Poultry Science Pub Date : 2024-02-03 eCollection Date: 2024-01-01 DOI:10.2141/jpsa.2024005
Khoi X Hoang, Mei Matsuzaki, Tetsuya Kohsaka, Tomohiro Sasanami
{"title":"Expression of Relaxin Family Peptide Receptors 1 and 3 in the Ovarian Follicle of Japanese Quail.","authors":"Khoi X Hoang, Mei Matsuzaki, Tetsuya Kohsaka, Tomohiro Sasanami","doi":"10.2141/jpsa.2024005","DOIUrl":null,"url":null,"abstract":"<p><p>In our previous studies, we demonstrated that the primary source of relaxin 3 (RLN3) in Japanese quail is ovarian granulosa cells. Although several relaxin family peptide (RXFP) receptors have been sequenced, the intricacies of these receptors in avian species remain insufficiently clarified. Therefore, we assessed the expression of RXFP receptors, RXFP1 and 3, in Japanese quail. Using RT-PCR, we found that both RXFP1 and 3 were ubiquitously expressed. The expression level of RXFP1 is significantly higher in the ovarian theca layer, indicating that it is the primary receptor for RLN3 in the ovary. During follicular development, there was an elevation in thecal RXFP1 expression, but it declined after the luteinizing hormone (LH) surge. We found that the protease activity of the 60 kDa band increased after the LH surge, suggesting the involvement of RLN3 signaling in ovulation. These results suggest a paracrine role of RLN3, involving its binding with RXFP1 in ovarian theca cells. This interaction may elicit biological actions, potentially initiating ovulation after the LH surge.</p>","PeriodicalId":16883,"journal":{"name":"Journal of Poultry Science","volume":"61 ","pages":"2024005"},"PeriodicalIF":1.6000,"publicationDate":"2024-02-03","publicationTypes":"Journal Article","fieldsOfStudy":null,"isOpenAccess":false,"openAccessPdf":"https://www.ncbi.nlm.nih.gov/pmc/articles/PMC10830672/pdf/","citationCount":"0","resultStr":null,"platform":"Semanticscholar","paperid":null,"PeriodicalName":"Journal of Poultry Science","FirstCategoryId":"97","ListUrlMain":"https://doi.org/10.2141/jpsa.2024005","RegionNum":4,"RegionCategory":"农林科学","ArticlePicture":[],"TitleCN":null,"AbstractTextCN":null,"PMCID":null,"EPubDate":"2024/1/1 0:00:00","PubModel":"eCollection","JCR":"Q2","JCRName":"AGRICULTURE, DAIRY & ANIMAL SCIENCE","Score":null,"Total":0}
引用次数: 0

Abstract

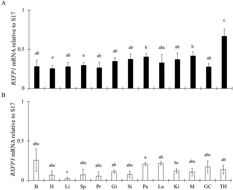
In our previous studies, we demonstrated that the primary source of relaxin 3 (RLN3) in Japanese quail is ovarian granulosa cells. Although several relaxin family peptide (RXFP) receptors have been sequenced, the intricacies of these receptors in avian species remain insufficiently clarified. Therefore, we assessed the expression of RXFP receptors, RXFP1 and 3, in Japanese quail. Using RT-PCR, we found that both RXFP1 and 3 were ubiquitously expressed. The expression level of RXFP1 is significantly higher in the ovarian theca layer, indicating that it is the primary receptor for RLN3 in the ovary. During follicular development, there was an elevation in thecal RXFP1 expression, but it declined after the luteinizing hormone (LH) surge. We found that the protease activity of the 60 kDa band increased after the LH surge, suggesting the involvement of RLN3 signaling in ovulation. These results suggest a paracrine role of RLN3, involving its binding with RXFP1 in ovarian theca cells. This interaction may elicit biological actions, potentially initiating ovulation after the LH surge.

Abstract Image

Abstract Image

Abstract Image

日本鹌鹑卵泡中松弛素家族肽受体 1 和 3 的表达
在之前的研究中,我们证实日本鹌鹑卵巢颗粒细胞是松弛素 3(RLN3)的主要来源。尽管已经对几种弛缓素家族肽(RXFP)受体进行了测序,但这些受体在鸟类中的复杂性仍未得到充分阐明。因此,我们评估了日本鹌鹑中 RXFP 受体 RXFP1 和 3 的表达情况。通过 RT-PCR 技术,我们发现 RXFP1 和 3 均普遍表达。RXFP1 在卵巢透明层的表达水平明显较高,表明它是 RLN3 在卵巢中的主要受体。在卵泡发育过程中,卵巢RXFP1的表达升高,但在黄体生成素(LH)激增后则下降。我们发现 60 kDa 带的蛋白酶活性在 LH 激增后增加,这表明 RLN3 信号传导参与了排卵。这些结果表明,RLN3 在卵巢癌细胞中起着旁分泌作用,它与 RXFP1 结合。这种相互作用可能会引起生物作用,有可能在 LH 激增后启动排卵。
本文章由计算机程序翻译,如有差异,请以英文原文为准。
求助全文
约1分钟内获得全文 求助全文
来源期刊
Journal of Poultry Science
Journal of Poultry Science AGRICULTURE, DAIRY & ANIMAL SCIENCE-
CiteScore
2.80
自引率
13.30%
发文量
26
审稿时长
12 months
期刊介绍: The Journal of Poultry Science will publish original reports and reviews which either make an original contribution to fundamental science or are of obvious application to the industry. Subjects which are covered include: breeding and genetics, nutrition and feeds, physiology, reproduction, immunology, behavior, environmental science, management and housing welfare, processing and products, and health in poultry. Submission of original articles to the Journal is open to all poultry researchers. The review articles are invited papers written by international outstanding researchers. Articles will be published in English, American style.
×
引用
GB/T 7714-2015
复制
MLA
复制
APA
复制
导出至
BibTeX EndNote RefMan NoteFirst NoteExpress
×
提示
您的信息不完整,为了账户安全,请先补充。
现在去补充
×
提示
您因"违规操作"
具体请查看互助需知
我知道了
×
提示
确定
请完成安全验证×
copy
已复制链接
快去分享给好友吧!
我知道了
右上角分享
点击右上角分享
0
联系我们:info@booksci.cn Book学术提供免费学术资源搜索服务,方便国内外学者检索中英文文献。致力于提供最便捷和优质的服务体验。 Copyright © 2023 布克学术 All rights reserved.
京ICP备2023020795号-1
ghs 京公网安备 11010802042870号
Book学术文献互助
Book学术文献互助群
群 号:604180095
Book学术官方微信