Isoproterenol Alters Metabolism, Promotes Survival and Migration in 5-Fluorouracil-Treated SW480 Cells with and without Beta-hydroxybutyrate.

IF 0.8 Q3 MEDICINE, RESEARCH & EXPERIMENTAL
Azam Shakery, Katayoun Pourvali, Ghazaleh Shimi, Hamid Zand
{"title":"Isoproterenol Alters Metabolism, Promotes Survival and Migration in 5-Fluorouracil-Treated SW480 Cells with and without Beta-hydroxybutyrate.","authors":"Azam Shakery, Katayoun Pourvali, Ghazaleh Shimi, Hamid Zand","doi":"10.22088/IJMCM.BUMS.12.2.144","DOIUrl":null,"url":null,"abstract":"<p><p>People with cancer often experience long-term physical and psychological stress, which can have a significant impact on tumor metabolism and treatment. The effects of adrenergic signaling on metabolic pathways are well known, but only a few studies have looked into the connection between this signaling and tumor metabolism. This study examined the effects of treatment with isoproterenol (Iso) alone and in combination with β-hydroxybutyrate (βHB), a mitochondrial fuel, on the metabolism, survival, and migration of SW480 colon cancer cells treated with 5-fluorouracil (5FU). The researchers measured the oxygen consumption rate (OCR) and extracellular acidification rate (ECAR) to determine the metabolic profile of these cells. They also analyzed the gene expression of PGC-1α, c-MYC, and NANOG to investigate the relationship between metabolic phenotype and stemness status. Scratch assays were used to assess cell migration. The results showed that Iso treatment increased cell viability in both SW480 and 5FU-treated SW480 cells. There was a significant decrease in ECAR and an increase in OCR after Iso treatment in both cell types. The expression of c-MYC and NANOG, genes associated with stemness, increased, while the expression of PGC-1α, a gene related to oxidative phosphorylation, decreased following Iso treatment. Iso treatment also increased the migration potential of both SW480 and 5FU-treated SW480 cells. These findings suggest that under stressful conditions, 5FU-treated colon cancer cells can utilize the oxidative phosphorylation pathway for growth and migration.</p>","PeriodicalId":14152,"journal":{"name":"International Journal of Molecular and Cellular Medicine","volume":"12 2","pages":"144-158"},"PeriodicalIF":0.8000,"publicationDate":"2023-01-01","publicationTypes":"Journal Article","fieldsOfStudy":null,"isOpenAccess":false,"openAccessPdf":"https://www.ncbi.nlm.nih.gov/pmc/articles/PMC10837909/pdf/","citationCount":"0","resultStr":null,"platform":"Semanticscholar","paperid":null,"PeriodicalName":"International Journal of Molecular and Cellular Medicine","FirstCategoryId":"1085","ListUrlMain":"https://doi.org/10.22088/IJMCM.BUMS.12.2.144","RegionNum":0,"RegionCategory":null,"ArticlePicture":[],"TitleCN":null,"AbstractTextCN":null,"PMCID":null,"EPubDate":"","PubModel":"","JCR":"Q3","JCRName":"MEDICINE, RESEARCH & EXPERIMENTAL","Score":null,"Total":0}
引用次数: 0

Abstract

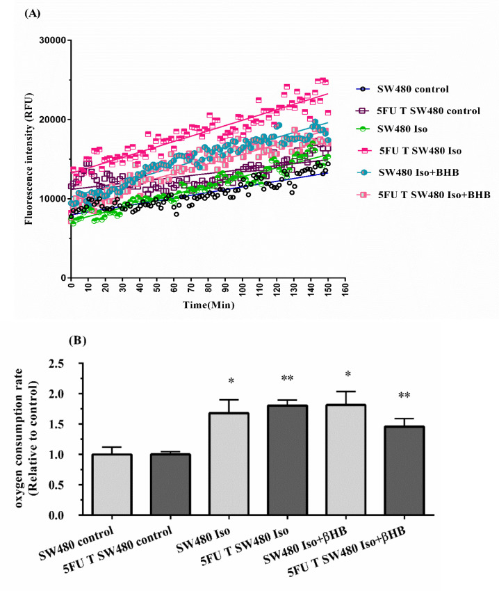
People with cancer often experience long-term physical and psychological stress, which can have a significant impact on tumor metabolism and treatment. The effects of adrenergic signaling on metabolic pathways are well known, but only a few studies have looked into the connection between this signaling and tumor metabolism. This study examined the effects of treatment with isoproterenol (Iso) alone and in combination with β-hydroxybutyrate (βHB), a mitochondrial fuel, on the metabolism, survival, and migration of SW480 colon cancer cells treated with 5-fluorouracil (5FU). The researchers measured the oxygen consumption rate (OCR) and extracellular acidification rate (ECAR) to determine the metabolic profile of these cells. They also analyzed the gene expression of PGC-1α, c-MYC, and NANOG to investigate the relationship between metabolic phenotype and stemness status. Scratch assays were used to assess cell migration. The results showed that Iso treatment increased cell viability in both SW480 and 5FU-treated SW480 cells. There was a significant decrease in ECAR and an increase in OCR after Iso treatment in both cell types. The expression of c-MYC and NANOG, genes associated with stemness, increased, while the expression of PGC-1α, a gene related to oxidative phosphorylation, decreased following Iso treatment. Iso treatment also increased the migration potential of both SW480 and 5FU-treated SW480 cells. These findings suggest that under stressful conditions, 5FU-treated colon cancer cells can utilize the oxidative phosphorylation pathway for growth and migration.

Abstract Image

Abstract Image

Abstract Image

异丙肾上腺素能改变经 5-氟尿嘧啶处理的 SW480 细胞的新陈代谢,促进其存活和迁移,无论其是否含有 β-羟丁酸。
癌症患者经常会经历长期的生理和心理压力,这会对肿瘤代谢和治疗产生重大影响。肾上腺素能信号传导对新陈代谢途径的影响众所周知,但只有少数研究探讨了这种信号传导与肿瘤新陈代谢之间的联系。这项研究考察了单独使用异丙肾上腺素(Iso)和与线粒体燃料β-羟丁酸(βHB)联合使用对接受5-氟尿嘧啶(5FU)治疗的SW480结肠癌细胞的代谢、存活和迁移的影响。研究人员测量了耗氧率(OCR)和细胞外酸化率(ECAR),以确定这些细胞的代谢情况。他们还分析了PGC-1α、c-MYC和NANOG的基因表达,以研究代谢表型与干性状态之间的关系。划痕实验用于评估细胞迁移。结果显示,菘蓝处理提高了SW480细胞和5FU处理的SW480细胞的存活率。在两种细胞中,菘蓝处理后ECAR明显下降,OCR明显上升。与干性相关的基因c-MYC和NANOG的表达量增加,而与氧化磷酸化相关的基因PGC-1α的表达量在异烟肼处理后减少。异体处理还增加了SW480细胞和5FU处理的SW480细胞的迁移潜力。这些发现表明,在应激条件下,5FU 处理的结肠癌细胞可利用氧化磷酸化途径生长和迁移。
本文章由计算机程序翻译,如有差异,请以英文原文为准。
求助全文
约1分钟内获得全文 求助全文
来源期刊
CiteScore
3.60
自引率
0.00%
发文量
0
期刊介绍: The International Journal of Molecular and Cellular Medicine (IJMCM) is a peer-reviewed, quarterly publication of Cellular and Molecular Biology Research Center (CMBRC), Babol University of Medical Sciences, Babol, Iran. The journal covers all cellular & molecular biology and medicine disciplines such as the genetic basis of disease, biomarker discovery in diagnosis and treatment, genomics and proteomics, bioinformatics, computer applications in human biology, stem cells and tissue engineering, medical biotechnology, nanomedicine, cellular processes related to growth, death and survival, clinical biochemistry, molecular & cellular immunology, molecular and cellular aspects of infectious disease and cancer research. IJMCM is a free access journal. All open access articles published in IJMCM are distributed under the terms of the Creative Commons Attribution CC BY. The journal doesn''t have any submission and article processing charges (APCs).
×
引用
GB/T 7714-2015
复制
MLA
复制
APA
复制
导出至
BibTeX EndNote RefMan NoteFirst NoteExpress
×
提示
您的信息不完整,为了账户安全,请先补充。
现在去补充
×
提示
您因"违规操作"
具体请查看互助需知
我知道了
×
提示
确定
请完成安全验证×
copy
已复制链接
快去分享给好友吧!
我知道了
右上角分享
点击右上角分享
0
联系我们:info@booksci.cn Book学术提供免费学术资源搜索服务,方便国内外学者检索中英文文献。致力于提供最便捷和优质的服务体验。 Copyright © 2023 布克学术 All rights reserved.
京ICP备2023020795号-1
ghs 京公网安备 11010802042870号
Book学术文献互助
Book学术文献互助群
群 号:604180095
Book学术官方微信