Cranberry supplementation improves physiological markers of performance in trained runners.

Physical activity and nutrition Pub Date : 2023-12-01 Epub Date: 2023-12-31 DOI:10.20463/pan.2023.0032
Francis Parenteau, Veronica Furno Puglia, Mary Roberts, Alain Steve Comtois, Andreas Bergdahl
{"title":"Cranberry supplementation improves physiological markers of performance in trained runners.","authors":"Francis Parenteau, Veronica Furno Puglia, Mary Roberts, Alain Steve Comtois, Andreas Bergdahl","doi":"10.20463/pan.2023.0032","DOIUrl":null,"url":null,"abstract":"<p><strong>Purpose: </strong>Cranberries have the highest polyphenol and antioxidant capacity among fruits and vegetables and may protect against exercise-induced free radical production, consequently improving performance. This study aimed to investigate the effect of polyphenol-rich cranberry extract (CE) on time-trial performance and lactate response following exercise.</p><p><strong>Methods: </strong>A total of 14 trained runners were tested at i) baseline, ii) 2 h following an acute CE dose (0.7 g/kg of body mass), and iii) 4 weeks after daily supplement consumption (0.3 g/kg of body mass). At each time point, runners performed a 1500-m race followed by a 400-m race where the live vastus lateralis oxygenation changes were determined by near-infrared spectroscopy and blood lactate was measured at rest and 1 and 3 min after each trial. The Shapiro-Wilk test and repeated-measures analysis of variance were used to establish significance (P &lt;0.05).</p><p><strong>Results: </strong>Cranberry supplementation over 28 d improved aerobic performance during the 1500-m time trial, whereas the acute dose had no effect. More specifically, muscle reoxygenation rates were significantly faster after 28 d compared to baseline (P = 0.04; η² = 0.29), and a trend towards slower deoxygenation rate was observed (P = 0.13; η² = 0.20). Chronic CE consumption also buffered the post-exercise lactate response for the 400-m race (P = 0.01; η² = 0.27), while no effects were seen for the longer race.</p><p><strong>Conclusion: </strong>Our results suggest that cranberry supplementation may have ergogenic effects, as it improves physiological markers of performance during short- and long-distance running.</p>","PeriodicalId":74444,"journal":{"name":"Physical activity and nutrition","volume":"27 4","pages":"8-14"},"PeriodicalIF":0.0000,"publicationDate":"2023-12-01","publicationTypes":"Journal Article","fieldsOfStudy":null,"isOpenAccess":false,"openAccessPdf":"https://www.ncbi.nlm.nih.gov/pmc/articles/PMC10844722/pdf/","citationCount":"0","resultStr":null,"platform":"Semanticscholar","paperid":null,"PeriodicalName":"Physical activity and nutrition","FirstCategoryId":"1085","ListUrlMain":"https://doi.org/10.20463/pan.2023.0032","RegionNum":0,"RegionCategory":null,"ArticlePicture":[],"TitleCN":null,"AbstractTextCN":null,"PMCID":null,"EPubDate":"2023/12/31 0:00:00","PubModel":"Epub","JCR":"","JCRName":"","Score":null,"Total":0}
引用次数: 0

Abstract

Purpose: Cranberries have the highest polyphenol and antioxidant capacity among fruits and vegetables and may protect against exercise-induced free radical production, consequently improving performance. This study aimed to investigate the effect of polyphenol-rich cranberry extract (CE) on time-trial performance and lactate response following exercise.

Methods: A total of 14 trained runners were tested at i) baseline, ii) 2 h following an acute CE dose (0.7 g/kg of body mass), and iii) 4 weeks after daily supplement consumption (0.3 g/kg of body mass). At each time point, runners performed a 1500-m race followed by a 400-m race where the live vastus lateralis oxygenation changes were determined by near-infrared spectroscopy and blood lactate was measured at rest and 1 and 3 min after each trial. The Shapiro-Wilk test and repeated-measures analysis of variance were used to establish significance (P <0.05).

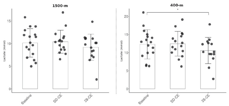
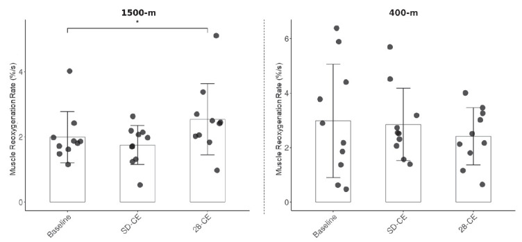
Results: Cranberry supplementation over 28 d improved aerobic performance during the 1500-m time trial, whereas the acute dose had no effect. More specifically, muscle reoxygenation rates were significantly faster after 28 d compared to baseline (P = 0.04; η² = 0.29), and a trend towards slower deoxygenation rate was observed (P = 0.13; η² = 0.20). Chronic CE consumption also buffered the post-exercise lactate response for the 400-m race (P = 0.01; η² = 0.27), while no effects were seen for the longer race.

Conclusion: Our results suggest that cranberry supplementation may have ergogenic effects, as it improves physiological markers of performance during short- and long-distance running.

Abstract Image

Abstract Image

Abstract Image

补充蔓越莓可改善训练有素的跑步者的生理指标。
目的:蔓越莓在水果和蔬菜中具有最高的多酚和抗氧化能力,可防止运动引起的自由基生成,从而提高运动成绩。本研究旨在探讨富含多酚的蔓越莓提取物(CE)对运动后计时成绩和乳酸反应的影响:方法:共对 14 名训练有素的跑步者进行了以下测试:i)基线;ii)服用急性 CE 剂量(0.7 克/千克体重)后 2 小时;iii)每天服用补充剂(0.3 克/千克体重)4 周后。在每个时间点,跑步者先进行 1500 米赛跑,然后进行 400 米赛跑,通过近红外光谱测定活体阔筋膜氧饱和度的变化,并测量休息时和每次赛跑后 1 分钟和 3 分钟的血乳酸。采用 Shapiro-Wilk 检验和重复测量方差分析来确定显著性(P <0.05):结果:在1500米计时赛中,连续28天补充蔓越莓可提高有氧运动成绩,而急性剂量则没有影响。更具体地说,与基线相比,28 天后肌肉再氧合速率明显加快(P = 0.04;η² = 0.29),并且观察到脱氧速率有减慢的趋势(P = 0.13;η² = 0.20)。长期食用蔓越莓还能缓冲 400 米赛跑的运动后乳酸反应(P = 0.01;η² = 0.27),而对长距离赛跑则没有影响:我们的研究结果表明,补充蔓越莓可能具有增强体质的作用,因为它能改善短距离和长距离跑步时的生理指标。
本文章由计算机程序翻译,如有差异,请以英文原文为准。
求助全文
约1分钟内获得全文 求助全文
来源期刊
CiteScore
2.00
自引率
0.00%
发文量
0
×
引用
GB/T 7714-2015
复制
MLA
复制
APA
复制
导出至
BibTeX EndNote RefMan NoteFirst NoteExpress
×
提示
您的信息不完整,为了账户安全,请先补充。
现在去补充
×
提示
您因"违规操作"
具体请查看互助需知
我知道了
×
提示
确定
请完成安全验证×
copy
已复制链接
快去分享给好友吧!
我知道了
右上角分享
点击右上角分享
0
联系我们:info@booksci.cn Book学术提供免费学术资源搜索服务,方便国内外学者检索中英文文献。致力于提供最便捷和优质的服务体验。 Copyright © 2023 布克学术 All rights reserved.
京ICP备2023020795号-1
ghs 京公网安备 11010802042870号
Book学术文献互助
Book学术文献互助群
群 号:604180095
Book学术官方微信