A component-based analysis of metabolic syndrome's impact on 30-day outcomes after hip fracture: reduced mortality in obese patients.

Aaron Singh, Travis Kotzur, Irene Vivancos-Koopman, Chimobi Emukah, Christina Brady, Case Martin
{"title":"A component-based analysis of metabolic syndrome's impact on 30-day outcomes after hip fracture: reduced mortality in obese patients.","authors":"Aaron Singh, Travis Kotzur, Irene Vivancos-Koopman, Chimobi Emukah, Christina Brady, Case Martin","doi":"10.1097/OI9.0000000000000301","DOIUrl":null,"url":null,"abstract":"<p><strong>Introduction: </strong>Hip fractures are a common injury associated with significant morbidity and mortality. In the United States, there has been a rapid increase in the prevalence of metabolic syndrome (MetS), a condition comprised several common comorbidities, including obesity, diabetes mellitus, and hypertension, that may worsen perioperative outcomes. This article assesses the impact of MetS and its components on outcomes after hip fracture surgery.</p><p><strong>Methods: </strong>Patients who underwent nonelective operative treatment for traumatic hip fractures were identified in the 2015-2020 American College of Surgeons National Surgical Quality Improvement Program (ACS-NSQIP) database. Baseline characteristics between groups were compared, and significant differences were included as covariates. Multivariate regression was performed to assess the impact of characteristics of interest on postoperative outcomes. Patients with MetS, or a single one of its constitutive components-hypertension, diabetes, and obesity-were compared with metabolically healthy cohorts.</p><p><strong>Results: </strong>In total 95,338 patients were included. Patients with MetS had increased complications (OR 1.509; <i>P</i> < 0.001), but reduced mortality (OR 0.71; <i>P</i> < 0.001). Obesity alone was also associated with increased complications (OR 1.14; <i>P</i> < 0.001) and reduced mortality (OR 0.736; <i>P</i> < 0.001). Both hypertension and diabetes alone increased complications (<i>P</i> < 0.001) but had no impact on mortality. Patients with MetS did, however, have greater odds of adverse discharge (OR 1.516; <i>P</i> < 0.001), extended hospital stays (OR 1.18; <i>P</i> < 0.001), and reoperation (OR 1.297; <i>P</i> = 0.003), but no significant difference in readmission rate.</p><p><strong>Conclusion: </strong>Patients with MetS had increased complications but decreased mortality. Our component-based analysis showed had obesity had a similar effect: increased complications but lower mortality. These results may help surgeons preoperatively counsel patients with hip fracture about their postoperative risks.</p>","PeriodicalId":74381,"journal":{"name":"OTA international : the open access journal of orthopaedic trauma","volume":"7 1","pages":"e301"},"PeriodicalIF":0.0000,"publicationDate":"2024-01-30","publicationTypes":"Journal Article","fieldsOfStudy":null,"isOpenAccess":false,"openAccessPdf":"https://www.ncbi.nlm.nih.gov/pmc/articles/PMC10827291/pdf/","citationCount":"0","resultStr":null,"platform":"Semanticscholar","paperid":null,"PeriodicalName":"OTA international : the open access journal of orthopaedic trauma","FirstCategoryId":"1085","ListUrlMain":"https://doi.org/10.1097/OI9.0000000000000301","RegionNum":0,"RegionCategory":null,"ArticlePicture":[],"TitleCN":null,"AbstractTextCN":null,"PMCID":null,"EPubDate":"2024/3/1 0:00:00","PubModel":"eCollection","JCR":"","JCRName":"","Score":null,"Total":0}
引用次数: 0

Abstract

Introduction: Hip fractures are a common injury associated with significant morbidity and mortality. In the United States, there has been a rapid increase in the prevalence of metabolic syndrome (MetS), a condition comprised several common comorbidities, including obesity, diabetes mellitus, and hypertension, that may worsen perioperative outcomes. This article assesses the impact of MetS and its components on outcomes after hip fracture surgery.

Methods: Patients who underwent nonelective operative treatment for traumatic hip fractures were identified in the 2015-2020 American College of Surgeons National Surgical Quality Improvement Program (ACS-NSQIP) database. Baseline characteristics between groups were compared, and significant differences were included as covariates. Multivariate regression was performed to assess the impact of characteristics of interest on postoperative outcomes. Patients with MetS, or a single one of its constitutive components-hypertension, diabetes, and obesity-were compared with metabolically healthy cohorts.

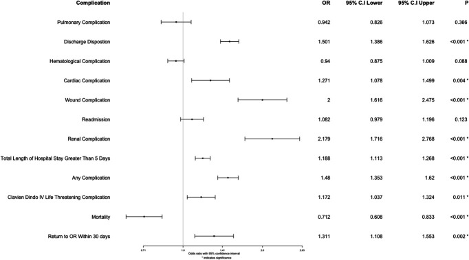
Results: In total 95,338 patients were included. Patients with MetS had increased complications (OR 1.509; P < 0.001), but reduced mortality (OR 0.71; P < 0.001). Obesity alone was also associated with increased complications (OR 1.14; P < 0.001) and reduced mortality (OR 0.736; P < 0.001). Both hypertension and diabetes alone increased complications (P < 0.001) but had no impact on mortality. Patients with MetS did, however, have greater odds of adverse discharge (OR 1.516; P < 0.001), extended hospital stays (OR 1.18; P < 0.001), and reoperation (OR 1.297; P = 0.003), but no significant difference in readmission rate.

Conclusion: Patients with MetS had increased complications but decreased mortality. Our component-based analysis showed had obesity had a similar effect: increased complications but lower mortality. These results may help surgeons preoperatively counsel patients with hip fracture about their postoperative risks.

Abstract Image

Abstract Image

Abstract Image

代谢综合征对髋部骨折后 30 天预后影响的成分分析:肥胖患者死亡率降低。
简介髋部骨折是一种常见的损伤,发病率和死亡率都很高。在美国,代谢综合征(MetS)的发病率迅速上升,代谢综合征由肥胖、糖尿病和高血压等几种常见合并症组成,可能会恶化围手术期的预后。本文评估了MetS及其组成部分对髋部骨折手术后预后的影响:在 2015-2020 年美国外科学院国家外科质量改进计划(ACS-NSQIP)数据库中确定了因创伤性髋部骨折接受非选择性手术治疗的患者。比较了各组间的基线特征,并将显著差异作为协变量。进行多变量回归以评估相关特征对术后结果的影响。将患有 MetS 或其构成要素之一(高血压、糖尿病和肥胖)的患者与代谢健康的组群进行比较:结果:共纳入 95 338 名患者。MetS 患者的并发症增加(OR 1.509;P < 0.001),但死亡率降低(OR 0.71;P < 0.001)。单纯肥胖也与并发症增加(OR 1.14;P < 0.001)和死亡率降低(OR 0.736;P < 0.001)有关。单纯高血压和糖尿病会增加并发症(P < 0.001),但对死亡率没有影响。然而,MetS患者出院不良反应(OR 1.516;P <0.001)、住院时间延长(OR 1.18;P <0.001)和再次手术(OR 1.297;P = 0.003)的几率更大,但再次入院率没有显著差异:结论:MetS 患者的并发症增加,但死亡率降低。结论:MetS 患者的并发症增加,但死亡率降低。我们基于成分的分析表明,肥胖也有类似的影响:并发症增加,但死亡率降低。这些结果可能有助于外科医生在术前向髋部骨折患者提供术后风险咨询。
本文章由计算机程序翻译,如有差异,请以英文原文为准。
求助全文
约1分钟内获得全文 求助全文
来源期刊
自引率
0.00%
发文量
0
审稿时长
4 weeks
×
引用
GB/T 7714-2015
复制
MLA
复制
APA
复制
导出至
BibTeX EndNote RefMan NoteFirst NoteExpress
×
提示
您的信息不完整,为了账户安全,请先补充。
现在去补充
×
提示
您因"违规操作"
具体请查看互助需知
我知道了
×
提示
确定
请完成安全验证×
copy
已复制链接
快去分享给好友吧!
我知道了
右上角分享
点击右上角分享
0
联系我们:info@booksci.cn Book学术提供免费学术资源搜索服务,方便国内外学者检索中英文文献。致力于提供最便捷和优质的服务体验。 Copyright © 2023 布克学术 All rights reserved.
京ICP备2023020795号-1
ghs 京公网安备 11010802042870号
Book学术文献互助
Book学术文献互助群
群 号:604180095
Book学术官方微信