Factors affecting bone mineral density in children and adolescents with systemic lupus erythematosus.

IF 3.3 Q3 ENDOCRINOLOGY & METABOLISM
Su Jin Park, Soo Yeun Sim, Dae Chul Jeong, Byung-Kyu Suh, Moon Bae Ahn
{"title":"Factors affecting bone mineral density in children and adolescents with systemic lupus erythematosus.","authors":"Su Jin Park, Soo Yeun Sim, Dae Chul Jeong, Byung-Kyu Suh, Moon Bae Ahn","doi":"10.6065/apem.2346060.030","DOIUrl":null,"url":null,"abstract":"<p><strong>Purpose: </strong>Patients with juvenile-onset systemic lupus erythematosus (JSLE) are at a high risk of entering adulthood with disease-related morbidities like reduced bone mass and osteoporosis. This study aimed to evaluate the clinical characteristics of JSLE and to analyze the factors associated with low bone mineral density (BMD) in these patients.</p><p><strong>Methods: </strong>Children and adolescents diagnosed with JSLE at a single institution in Korea were included. Demographic, clinical, and laboratory data as well as details about the use of glucocorticoids (GCs) and disease-modifying antirheumatic drugs were collected. The lumbar spine (LS) BMD z-score was measured using dual energy x-ray absorptiometry, and lateral thoracolumbar spine radiographs were collected.</p><p><strong>Results: </strong>A total of 29 patients with JSLE were included in this study. Of these patients, 7 had a BMD z-score of -2.0 or lower and were designated as the low BMD group. The differences in the clinical parameters and treatment variables between the low BMD and non-low BMD groups were compared. Higher cumulative GC dose, longer GC exposure, and higher cumulative hydroxychloroquine (HCQ) dose were all associated with low BMD; among them, the main factor was the duration of GC exposure. There was no significant correlation between BMD and clinical profile, disease activity, or bone-metabolism markers.</p><p><strong>Conclusion: </strong>The duration of GC exposure, cumulative GC dose, and cumulative HCQ dose were risk factors for low BMD in patients with JSLE, with the main factor being the duration of GC exposure. Thus, patients with JSLE should be routinely monitored for low BMD and potential fracture risks, and GC-sparing treatment regimens should be considered.</p>","PeriodicalId":44915,"journal":{"name":"Annals of Pediatric Endocrinology & Metabolism","volume":" ","pages":"191-200"},"PeriodicalIF":3.3000,"publicationDate":"2024-06-01","publicationTypes":"Journal Article","fieldsOfStudy":null,"isOpenAccess":false,"openAccessPdf":"https://www.ncbi.nlm.nih.gov/pmc/articles/PMC11220398/pdf/","citationCount":"0","resultStr":null,"platform":"Semanticscholar","paperid":null,"PeriodicalName":"Annals of Pediatric Endocrinology & Metabolism","FirstCategoryId":"1085","ListUrlMain":"https://doi.org/10.6065/apem.2346060.030","RegionNum":0,"RegionCategory":null,"ArticlePicture":[],"TitleCN":null,"AbstractTextCN":null,"PMCID":null,"EPubDate":"2024/1/28 0:00:00","PubModel":"Epub","JCR":"Q3","JCRName":"ENDOCRINOLOGY & METABOLISM","Score":null,"Total":0}
引用次数: 0

Abstract

Purpose: Patients with juvenile-onset systemic lupus erythematosus (JSLE) are at a high risk of entering adulthood with disease-related morbidities like reduced bone mass and osteoporosis. This study aimed to evaluate the clinical characteristics of JSLE and to analyze the factors associated with low bone mineral density (BMD) in these patients.

Methods: Children and adolescents diagnosed with JSLE at a single institution in Korea were included. Demographic, clinical, and laboratory data as well as details about the use of glucocorticoids (GCs) and disease-modifying antirheumatic drugs were collected. The lumbar spine (LS) BMD z-score was measured using dual energy x-ray absorptiometry, and lateral thoracolumbar spine radiographs were collected.

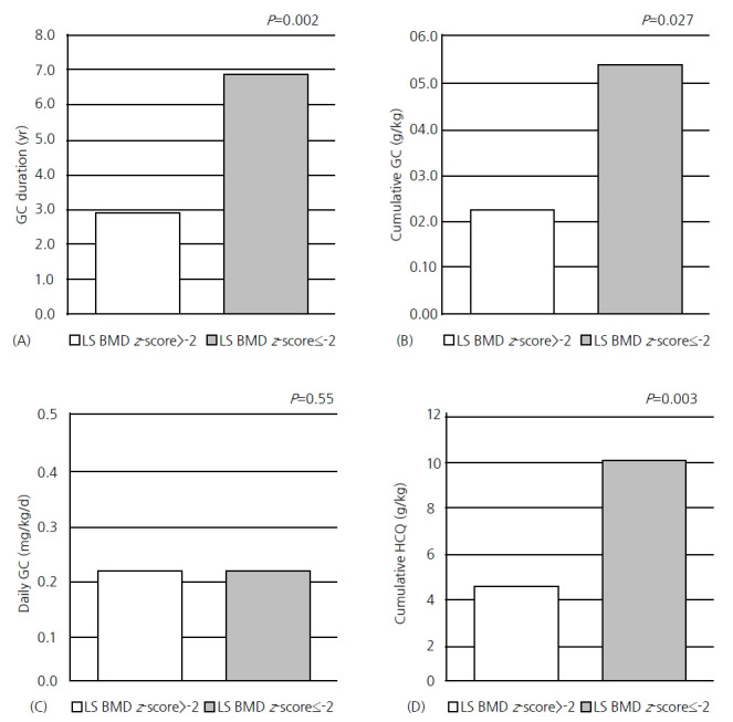
Results: A total of 29 patients with JSLE were included in this study. Of these patients, 7 had a BMD z-score of -2.0 or lower and were designated as the low BMD group. The differences in the clinical parameters and treatment variables between the low BMD and non-low BMD groups were compared. Higher cumulative GC dose, longer GC exposure, and higher cumulative hydroxychloroquine (HCQ) dose were all associated with low BMD; among them, the main factor was the duration of GC exposure. There was no significant correlation between BMD and clinical profile, disease activity, or bone-metabolism markers.

Conclusion: The duration of GC exposure, cumulative GC dose, and cumulative HCQ dose were risk factors for low BMD in patients with JSLE, with the main factor being the duration of GC exposure. Thus, patients with JSLE should be routinely monitored for low BMD and potential fracture risks, and GC-sparing treatment regimens should be considered.

Abstract Image

Abstract Image

影响系统性红斑狼疮儿童和青少年骨矿物质密度的因素。
目的:幼年型系统性红斑狼疮(JSLE)患者进入成年期后很有可能出现与疾病相关的病症,如骨量减少和骨质疏松症。本研究旨在评估 JSLE 的临床特征,并分析与这些患者低骨矿物质密度(BMD)相关的因素:方法:纳入在韩国一家医院确诊为 JSLE 的儿童和青少年。收集了人口统计学、临床和实验室数据,以及糖皮质激素和改善病情抗风湿药物的使用情况。使用双能 X 射线吸收测量法测量腰椎 BMD Z-score,并收集腰椎影像学数据:结果:本研究共纳入 29 名 JSLE 患者。结果:本研究共纳入 29 名 JSLE 患者,其中 7 名患者的腰椎 Z 评分为-2.0 或更低,被定为低 BMD 组。比较了低 BMD 组和非低 BMD 组在临床参数和治疗变量方面的差异。较高的糖皮质激素累积剂量、较长的糖皮质激素暴露时间和较高的羟氯喹累积剂量与低 BMD 相关;暴露时间是主要因素。BMD与临床概况、系统性红斑狼疮疾病活动性或骨代谢指标之间没有明显的相关性:结论:糖皮质激素暴露持续时间、糖皮质激素累积剂量和羟氯喹累积剂量是导致JSLE患者低BMD的危险因素,其中糖皮质激素暴露持续时间是主要因素。因此,应常规监测JSLE患者的低BMD和潜在的骨折风险,并应考虑使用节省糖皮质激素的治疗方案。
本文章由计算机程序翻译,如有差异,请以英文原文为准。
求助全文
约1分钟内获得全文 求助全文
来源期刊
CiteScore
4.00
自引率
18.20%
发文量
59
审稿时长
24 weeks
期刊介绍: The Annals of Pediatric Endocrinology & Metabolism Journal is the official publication of the Korean Society of Pediatric Endocrinology. Its formal abbreviated title is “Ann Pediatr Endocrinol Metab”. It is a peer-reviewed open access journal of medicine published in English. The journal was launched in 1996 under the title of ‘Journal of Korean Society of Pediatric Endocrinology’ until 2011 (pISSN 1226-2242). Since 2012, the title is now changed to ‘Annals of Pediatric Endocrinology & Metabolism’. The Journal is published four times per year on the last day of March, June, September, and December. It is widely distributed for free to members of the Korean Society of Pediatric Endocrinology, medical schools, libraries, and academic institutions. The journal is indexed/tracked/covered by web sites of PubMed Central, PubMed, Emerging Sources Citation Index (ESCI), Scopus, EBSCO, EMBASE, KoreaMed, KoMCI, KCI, Science Central, DOI/CrossRef, Directory of Open Access Journals(DOAJ), and Google Scholar. The aims of Annals of Pediatric Endocrinology & Metabolism are to contribute to the advancements in the fields of pediatric endocrinology & metabolism through the scientific reviews and interchange of all of pediatric endocrinology and metabolism. It aims to reflect the latest clinical, translational, and basic research trends from worldwide valuable achievements. In addition, genome research, epidemiology, public education and clinical practice guidelines in each country are welcomed for publication. The Journal particularly focuses on research conducted with Asian-Pacific children whose genetic and environmental backgrounds are different from those of the Western. Area of specific interest include the following : Growth, puberty, glucose metabolism including diabetes mellitus, obesity, nutrition, disorders of sexual development, pituitary, thyroid, parathyroid, adrenal cortex, bone or other endocrine and metabolic disorders from infancy through adolescence.
×
引用
GB/T 7714-2015
复制
MLA
复制
APA
复制
导出至
BibTeX EndNote RefMan NoteFirst NoteExpress
×
提示
您的信息不完整,为了账户安全,请先补充。
现在去补充
×
提示
您因"违规操作"
具体请查看互助需知
我知道了
×
提示
确定
请完成安全验证×
copy
已复制链接
快去分享给好友吧!
我知道了
右上角分享
点击右上角分享
0
联系我们:info@booksci.cn Book学术提供免费学术资源搜索服务,方便国内外学者检索中英文文献。致力于提供最便捷和优质的服务体验。 Copyright © 2023 布克学术 All rights reserved.
京ICP备2023020795号-1
ghs 京公网安备 11010802042870号
Book学术文献互助
Book学术文献互助群
群 号:604180095
Book学术官方微信