Electrically Evoked Auditory Brainstem Response Using Extracochlear Stimulation at Different Cochlear Sites: A Comparison With Intracochlear Stimulation.

IF 3.4 3区 医学 Q1 OTORHINOLARYNGOLOGY
Woongsang Sunwoo, Woonhoe Goo, Seung-Ha Oh
{"title":"Electrically Evoked Auditory Brainstem Response Using Extracochlear Stimulation at Different Cochlear Sites: A Comparison With Intracochlear Stimulation.","authors":"Woongsang Sunwoo, Woonhoe Goo, Seung-Ha Oh","doi":"10.21053/ceo.2023.00034","DOIUrl":null,"url":null,"abstract":"<p><strong>Objectives: </strong>The distribution and extent of excitable spiral ganglion neurons (SGNs) have been investigated using the electrically evoked auditory brainstem response (EABR) during preoperative and perioperative periods. In this study, we investigated the EABR with extracochlear stimulation (eEABR) as a preoperative test to estimate these factors.</p><p><strong>Methods: </strong>Sixteen male Sprague-Dawley rats were used in this study. Experiments were conducted in nine rats with normal hearing and seven rats that were partially deafened with ouabain treatment. Each experiment involved the following steps: extracochlear stimulating electrode placement at three different sites along the axis of the cochlea and eEABR recordings; cochleostomy and four-channel intracochlear array implantation, followed by EABR recordings with various electrode pair combinations; and after electrophysiological measurements, harvest of the cochleae for histopathological evaluation. The slope characteristics of the amplitude growth function measured from eEABR and EABR, frequency-specific auditory thresholds, and the density of SGNs were compared.</p><p><strong>Results: </strong>Similar trends were observed in slope changes on different sites of stimulation with both types of stimulation in normal-hearing animals-specifically, a monotonically increasing slope with increasing distance between bipolar pairs. In addition, eEABR slopes showed significant correlations with EABR slopes when the expected cochlear regions of stimulation were similar in normal-hearing animals. In partially deaf animals, the auditory thresholds at several frequencies had a significant correlation with the eEABR slopes of each extracochlear electrode at the apical, middle, and basal cochlear positions. This indicated that increasing the regions of cochlear stimulation had a differential impact on eEABR slopes, depending on the neural conditions.</p><p><strong>Conclusion: </strong>Our results indicated that eEABR slopes showed significant spatial correlations with the functionality of the auditory nerve. Therefore, eEABR tests at various cochlear positions might be used for estimating the extent of excitable SGNs in cochlear implant candidates prior to implantation.</p>","PeriodicalId":10318,"journal":{"name":"Clinical and Experimental Otorhinolaryngology","volume":" ","pages":"99-108"},"PeriodicalIF":3.4000,"publicationDate":"2024-05-01","publicationTypes":"Journal Article","fieldsOfStudy":null,"isOpenAccess":false,"openAccessPdf":"https://www.ncbi.nlm.nih.gov/pmc/articles/PMC11150998/pdf/","citationCount":"0","resultStr":null,"platform":"Semanticscholar","paperid":null,"PeriodicalName":"Clinical and Experimental Otorhinolaryngology","FirstCategoryId":"3","ListUrlMain":"https://doi.org/10.21053/ceo.2023.00034","RegionNum":3,"RegionCategory":"医学","ArticlePicture":[],"TitleCN":null,"AbstractTextCN":null,"PMCID":null,"EPubDate":"2024/1/26 0:00:00","PubModel":"Epub","JCR":"Q1","JCRName":"OTORHINOLARYNGOLOGY","Score":null,"Total":0}
引用次数: 0

Abstract

Objectives: The distribution and extent of excitable spiral ganglion neurons (SGNs) have been investigated using the electrically evoked auditory brainstem response (EABR) during preoperative and perioperative periods. In this study, we investigated the EABR with extracochlear stimulation (eEABR) as a preoperative test to estimate these factors.

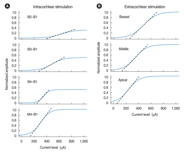
Methods: Sixteen male Sprague-Dawley rats were used in this study. Experiments were conducted in nine rats with normal hearing and seven rats that were partially deafened with ouabain treatment. Each experiment involved the following steps: extracochlear stimulating electrode placement at three different sites along the axis of the cochlea and eEABR recordings; cochleostomy and four-channel intracochlear array implantation, followed by EABR recordings with various electrode pair combinations; and after electrophysiological measurements, harvest of the cochleae for histopathological evaluation. The slope characteristics of the amplitude growth function measured from eEABR and EABR, frequency-specific auditory thresholds, and the density of SGNs were compared.

Results: Similar trends were observed in slope changes on different sites of stimulation with both types of stimulation in normal-hearing animals-specifically, a monotonically increasing slope with increasing distance between bipolar pairs. In addition, eEABR slopes showed significant correlations with EABR slopes when the expected cochlear regions of stimulation were similar in normal-hearing animals. In partially deaf animals, the auditory thresholds at several frequencies had a significant correlation with the eEABR slopes of each extracochlear electrode at the apical, middle, and basal cochlear positions. This indicated that increasing the regions of cochlear stimulation had a differential impact on eEABR slopes, depending on the neural conditions.

Conclusion: Our results indicated that eEABR slopes showed significant spatial correlations with the functionality of the auditory nerve. Therefore, eEABR tests at various cochlear positions might be used for estimating the extent of excitable SGNs in cochlear implant candidates prior to implantation.

Abstract Image

Abstract Image

Abstract Image

使用不同耳蜗部位的耳外刺激诱发听性脑干反应:与蜗内刺激的比较。
目的:有学者利用电诱发听性脑干反应(EABR)对术前或围术期可兴奋螺旋神经节神经元(SGN)的分布和范围进行了研究。在本研究中,我们将耳外刺激诱发听性脑干反应(EABR)作为一种术前测试工具来估算这些因素:本研究使用了 16 只雄性 Sprague-Dawley 大鼠。方法:本研究使用了 16 只雄性 Sprague-Dawley 大鼠,其中 9 只听力正常,7 只经欧氨酯治疗后部分失聪。每项实验均包括以下步骤:(1)沿耳蜗轴线在三个不同位置放置蜗外刺激电极,并进行电子脑电图记录。(2)耳蜗造口术和 4 通道耳蜗内阵列植入。然后,使用不同的电极对组合进行 EABR 记录。(3) 电生理测量后,采集耳蜗进行组织病理学评估。比较了 eEABR 和 EABR 测量的振幅增长函数的斜率特征、频率特异性听阈和 SGN 的密度:结果:在听力正常的动物身上,两种刺激方式在不同刺激部位的斜率变化趋势相似,都是随着双极对之间距离的增加而单调增加。此外,当正常听力动物的预期耳蜗刺激区域相似时,eEABR 斜率与 EABR 斜率显示出显著的相关性。在偏聋动物中,多个频率的听阈与每个耳蜗外电极在耳尖、中间和基底位置的 eEABR 斜率有显著相关性。这表明,根据神经条件的不同,耳蜗刺激区域的增加对 eEABR 斜率的影响也不同:我们的研究结果表明,eEABR 斜率与听神经的功能有显著的空间相关性。因此,在植入人工耳蜗前,在不同耳蜗位置进行的 eEABR 测试可用于估计人工耳蜗植入者听神经兴奋的程度。
本文章由计算机程序翻译,如有差异,请以英文原文为准。
求助全文
约1分钟内获得全文 求助全文
来源期刊
CiteScore
4.90
自引率
6.70%
发文量
49
审稿时长
6-12 weeks
期刊介绍: Clinical and Experimental Otorhinolaryngology (Clin Exp Otorhinolaryngol, CEO) is an international peer-reviewed journal on recent developments in diagnosis and treatment of otorhinolaryngology-head and neck surgery and dedicated to the advancement of patient care in ear, nose, throat, head, and neck disorders. This journal publishes original articles relating to both clinical and basic researches, reviews, and clinical trials, encompassing the whole topics of otorhinolaryngology-head and neck surgery. CEO was first issued in 2008 and this journal is published in English four times (the last day of February, May, August, and November) per year by the Korean Society of Otorhinolaryngology-Head and Neck Surgery. The Journal aims at publishing evidence-based, scientifically written articles from different disciplines of otorhinolaryngology field. The readership contains clinical/basic research into current practice in otorhinolaryngology, audiology, speech pathology, head and neck oncology, plastic and reconstructive surgery. The readers are otolaryngologists, head and neck surgeons and oncologists, audiologists, and speech pathologists.
×
引用
GB/T 7714-2015
复制
MLA
复制
APA
复制
导出至
BibTeX EndNote RefMan NoteFirst NoteExpress
×
提示
您的信息不完整,为了账户安全,请先补充。
现在去补充
×
提示
您因"违规操作"
具体请查看互助需知
我知道了
×
提示
确定
请完成安全验证×
copy
已复制链接
快去分享给好友吧!
我知道了
右上角分享
点击右上角分享
0
联系我们:info@booksci.cn Book学术提供免费学术资源搜索服务,方便国内外学者检索中英文文献。致力于提供最便捷和优质的服务体验。 Copyright © 2023 布克学术 All rights reserved.
京ICP备2023020795号-1
ghs 京公网安备 11010802042870号
Book学术文献互助
Book学术文献互助群
群 号:604180095
Book学术官方微信