Short-term effectiveness of transcranial direct current stimulation in the nociceptive behavior of neuropathic pain rats in development.

IF 2.7 Q2 NEUROSCIENCES
AIMS Neuroscience Pub Date : 2023-12-15 eCollection Date: 2023-01-01 DOI:10.3934/Neuroscience.2023032
Priscila Centeno Crespo, Leo Anderson Meira Martins, Otávio Garcia Martins, Clara Camacho Dos Reis, Ricardo Netto Goulart, Andressa de Souza, Liciane Fernandes Medeiros, Vanessa Leal Scarabelot, Giovana Duzzo Gamaro, Sabrina Pereira Silva, Marcos Roberto de Oliveira, Iraci Lucena da Silva Torres, Izabel Cristina Custódio de Souza
{"title":"Short-term effectiveness of transcranial direct current stimulation in the nociceptive behavior of neuropathic pain rats in development.","authors":"Priscila Centeno Crespo, Leo Anderson Meira Martins, Otávio Garcia Martins, Clara Camacho Dos Reis, Ricardo Netto Goulart, Andressa de Souza, Liciane Fernandes Medeiros, Vanessa Leal Scarabelot, Giovana Duzzo Gamaro, Sabrina Pereira Silva, Marcos Roberto de Oliveira, Iraci Lucena da Silva Torres, Izabel Cristina Custódio de Souza","doi":"10.3934/Neuroscience.2023032","DOIUrl":null,"url":null,"abstract":"<p><p>Neuropathic pain (NP) is caused by a lesion that triggers pain chronification and central sensitization and it can develop in a different manner, dependent of age. Recent studies have demonstrated the efficacy of transcranial direct current stimulation (tDCS) for treating NP. Then, we aimed to investigate the effects of tDCS and BDNF levels in neuropathic pain rats in development, with 30 days old in the beginning of experiments. Eight-five male <i>Wistar</i> rats were subjected to chronic constriction injury. After establishment of NP, bimodal tDCS was applied to the rats for eight consecutive days, for 20 minutes each session. Subsequently, nociceptive behavior was assessed at baseline, 14 days after surgery, 1 day and 7 days after the end of tDCS. The rats were sacrificed 8 days after the last session of tDCS. An increase in the nociceptive threshold was observed in rats in development 1 day after the end of tDCS (short-term effect), but this effect was not maintained 7 days after the end of tDCS (long-term effect). Furthermore, brain derived neurotrophic factor (BDNF) levels were analyzed in the frontal cortex, spinal cord and serum using ELISA assays. The neuropathic pain model showed an effect of BDNF in the spinal cord of rats in development. There were no effects of BNDF levels of pain or tDCS in the frontal cortex or serum. In conclusion, tDCS is an effective technique to relieve nociceptive behavior at a short-term effect in neuropathic pain rats in development, and BDNF levels were not altered at long-term effect.</p>","PeriodicalId":7732,"journal":{"name":"AIMS Neuroscience","volume":"10 4","pages":"433-446"},"PeriodicalIF":2.7000,"publicationDate":"2023-12-15","publicationTypes":"Journal Article","fieldsOfStudy":null,"isOpenAccess":false,"openAccessPdf":"https://www.ncbi.nlm.nih.gov/pmc/articles/PMC10767070/pdf/","citationCount":"0","resultStr":null,"platform":"Semanticscholar","paperid":null,"PeriodicalName":"AIMS Neuroscience","FirstCategoryId":"1085","ListUrlMain":"https://doi.org/10.3934/Neuroscience.2023032","RegionNum":0,"RegionCategory":null,"ArticlePicture":[],"TitleCN":null,"AbstractTextCN":null,"PMCID":null,"EPubDate":"2023/1/1 0:00:00","PubModel":"eCollection","JCR":"Q2","JCRName":"NEUROSCIENCES","Score":null,"Total":0}
引用次数: 0

Abstract

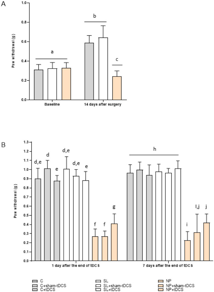
Neuropathic pain (NP) is caused by a lesion that triggers pain chronification and central sensitization and it can develop in a different manner, dependent of age. Recent studies have demonstrated the efficacy of transcranial direct current stimulation (tDCS) for treating NP. Then, we aimed to investigate the effects of tDCS and BDNF levels in neuropathic pain rats in development, with 30 days old in the beginning of experiments. Eight-five male Wistar rats were subjected to chronic constriction injury. After establishment of NP, bimodal tDCS was applied to the rats for eight consecutive days, for 20 minutes each session. Subsequently, nociceptive behavior was assessed at baseline, 14 days after surgery, 1 day and 7 days after the end of tDCS. The rats were sacrificed 8 days after the last session of tDCS. An increase in the nociceptive threshold was observed in rats in development 1 day after the end of tDCS (short-term effect), but this effect was not maintained 7 days after the end of tDCS (long-term effect). Furthermore, brain derived neurotrophic factor (BDNF) levels were analyzed in the frontal cortex, spinal cord and serum using ELISA assays. The neuropathic pain model showed an effect of BDNF in the spinal cord of rats in development. There were no effects of BNDF levels of pain or tDCS in the frontal cortex or serum. In conclusion, tDCS is an effective technique to relieve nociceptive behavior at a short-term effect in neuropathic pain rats in development, and BDNF levels were not altered at long-term effect.

Abstract Image

Abstract Image

Abstract Image

经颅直流电刺激对发育期神经病理性疼痛大鼠痛觉行为的短期疗效。
神经性疼痛(NP)是由引发疼痛慢性化和中枢敏感化的病变引起的,其发展方式因年龄而异。最近的研究表明,经颅直流电刺激(tDCS)对治疗神经病理性疼痛有一定疗效。因此,我们旨在研究 tDCS 和 BDNF 水平对发育期神经病理性疼痛大鼠的影响。我们对 85 只雄性 Wistar 大鼠进行了慢性收缩损伤。建立 NP 后,连续八天对大鼠施加双模 tDCS,每次 20 分钟。随后,分别在基线、术后 14 天、tDCS 结束后 1 天和 7 天对大鼠的痛觉行为进行评估。大鼠在最后一次 tDCS 治疗 8 天后被处死。在 tDCS 结束后 1 天,观察到发育期大鼠的痛觉阈值有所提高(短期效应),但这种效应在 tDCS 结束后 7 天不再维持(长期效应)。此外,还使用酶联免疫吸附试验分析了额叶皮层、脊髓和血清中的脑源性神经营养因子(BDNF)水平。神经病理性疼痛模型显示,BDNF 对发育期大鼠脊髓有影响。疼痛或 tDCS 对额叶皮层或血清中的 BNDF 水平没有影响。总之,tDCS是一种有效的技术,能在短期内缓解发育期神经病理性疼痛大鼠的痛觉行为,而在长期效应中BDNF水平不会发生改变。
本文章由计算机程序翻译,如有差异,请以英文原文为准。
求助全文
约1分钟内获得全文 求助全文
来源期刊
AIMS Neuroscience
AIMS Neuroscience NEUROSCIENCES-
CiteScore
4.20
自引率
0.00%
发文量
26
审稿时长
8 weeks
期刊介绍: AIMS Neuroscience is an international Open Access journal devoted to publishing peer-reviewed, high quality, original papers from all areas in the field of neuroscience. The primary focus is to provide a forum in which to expedite the speed with which theoretical neuroscience progresses toward generating testable hypotheses. In the presence of current and developing technology that offers unprecedented access to functions of the nervous system at all levels, the journal is designed to serve the role of providing the widest variety of the best theoretical views leading to suggested studies. Single blind peer review is provided for all articles and commentaries.
×
引用
GB/T 7714-2015
复制
MLA
复制
APA
复制
导出至
BibTeX EndNote RefMan NoteFirst NoteExpress
×
提示
您的信息不完整,为了账户安全,请先补充。
现在去补充
×
提示
您因"违规操作"
具体请查看互助需知
我知道了
×
提示
确定
请完成安全验证×
copy
已复制链接
快去分享给好友吧!
我知道了
右上角分享
点击右上角分享
0
联系我们:info@booksci.cn Book学术提供免费学术资源搜索服务,方便国内外学者检索中英文文献。致力于提供最便捷和优质的服务体验。 Copyright © 2023 布克学术 All rights reserved.
京ICP备2023020795号-1
ghs 京公网安备 11010802042870号
Book学术文献互助
Book学术文献互助群
群 号:604180095
Book学术官方微信