Evaluating the Necessity and Radiation Risk of Brain CT Scans Requested by the Trauma Emergency Department.

Q3 Medicine
Hadi Moradi, Hossein Chehre, Behzad Ghaderi, Faranak Saghatchi, Masoud Najafi, Parisa Karami, Hamed Rezaeejam
{"title":"Evaluating the Necessity and Radiation Risk of Brain CT Scans Requested by the Trauma Emergency Department.","authors":"Hadi Moradi, Hossein Chehre, Behzad Ghaderi, Faranak Saghatchi, Masoud Najafi, Parisa Karami, Hamed Rezaeejam","doi":"10.31661/jbpe.v0i0.2012-1251","DOIUrl":null,"url":null,"abstract":"<p><strong>Background: </strong>Numerous Computed Tomography (CT) scan requests for trauma patients have raised serious concern about the impacts of radiation such as radiation-induced cancers.</p><p><strong>Objective: </strong>This study aimed to evaluate the necessity rate of requested head CT scans for traumatic patients and to ultimately estimate the risk of radiation-induced brain cancer.</p><p><strong>Material and methods: </strong>In this retrospective analytical study, traumatic patients, who had undergone a head CT scan in a two-month period from August 23 to October 22, 2018, were considered as the study population. Two radiologists reviewed each patient individually to evaluate the rate of normal and abnormal cases. Dose length product in milligrays (mGy) was utilized to calculate the effective dose (ED) in millisieverts (mSv), resulting in an assessment of the risk of radiation-induced brain cancer using ICRP 103.</p><p><strong>Results: </strong>Among 523 scans, 460 patients (88%) received normal reviews, while only 47 patients (9%) had findings related to their current trauma. The mean effective dose value was 1.05±0.36 mSv. Risk of the radiation induced brain cancer was calculated to be 0.037 and 0.030 new cancer cases in 10000 males and females per Gy, respectively.</p><p><strong>Conclusion: </strong>Final results demonstrated that a significant number of traumatic patients undergoing a CT scan are in fact, healthy. Such reckless usage of CT and consequently the excess exposure could result in a dramatic rise in cancer rates. The need to limit unnecessary CT scan usage and keeping the radiation given to patients as low as reasonably achievable (ALARA) when collecting essential diagnostic data is more critical than ever.</p>","PeriodicalId":38035,"journal":{"name":"Journal of Biomedical Physics and Engineering","volume":"13 6","pages":"515-522"},"PeriodicalIF":0.0000,"publicationDate":"2023-12-01","publicationTypes":"Journal Article","fieldsOfStudy":null,"isOpenAccess":false,"openAccessPdf":"https://www.ncbi.nlm.nih.gov/pmc/articles/PMC10749414/pdf/","citationCount":"0","resultStr":null,"platform":"Semanticscholar","paperid":null,"PeriodicalName":"Journal of Biomedical Physics and Engineering","FirstCategoryId":"1085","ListUrlMain":"https://doi.org/10.31661/jbpe.v0i0.2012-1251","RegionNum":0,"RegionCategory":null,"ArticlePicture":[],"TitleCN":null,"AbstractTextCN":null,"PMCID":null,"EPubDate":"","PubModel":"","JCR":"Q3","JCRName":"Medicine","Score":null,"Total":0}
引用次数: 0

Abstract

Background: Numerous Computed Tomography (CT) scan requests for trauma patients have raised serious concern about the impacts of radiation such as radiation-induced cancers.

Objective: This study aimed to evaluate the necessity rate of requested head CT scans for traumatic patients and to ultimately estimate the risk of radiation-induced brain cancer.

Material and methods: In this retrospective analytical study, traumatic patients, who had undergone a head CT scan in a two-month period from August 23 to October 22, 2018, were considered as the study population. Two radiologists reviewed each patient individually to evaluate the rate of normal and abnormal cases. Dose length product in milligrays (mGy) was utilized to calculate the effective dose (ED) in millisieverts (mSv), resulting in an assessment of the risk of radiation-induced brain cancer using ICRP 103.

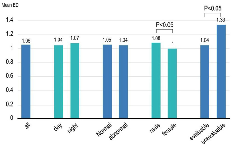
Results: Among 523 scans, 460 patients (88%) received normal reviews, while only 47 patients (9%) had findings related to their current trauma. The mean effective dose value was 1.05±0.36 mSv. Risk of the radiation induced brain cancer was calculated to be 0.037 and 0.030 new cancer cases in 10000 males and females per Gy, respectively.

Conclusion: Final results demonstrated that a significant number of traumatic patients undergoing a CT scan are in fact, healthy. Such reckless usage of CT and consequently the excess exposure could result in a dramatic rise in cancer rates. The need to limit unnecessary CT scan usage and keeping the radiation given to patients as low as reasonably achievable (ALARA) when collecting essential diagnostic data is more critical than ever.

Abstract Image

评估创伤急诊科要求进行脑 CT 扫描的必要性和辐射风险。
背景:大量外伤患者要求进行计算机断层扫描(CT),这引起了人们对辐射影响(如辐射诱发癌症)的严重关切:本研究旨在评估创伤患者申请头部 CT 扫描的必要性,并最终估计辐射诱发脑癌的风险:在这项回顾性分析研究中,2018 年 8 月 23 日至 10 月 22 日两个月内接受过头部 CT 扫描的外伤患者被视为研究人群。两名放射科医生对每位患者逐一进行复查,以评估正常和异常病例的比率。利用以毫戈瑞(mGy)为单位的剂量长度乘积来计算以毫西弗(mSv)为单位的有效剂量(ED),从而使用 ICRP 103 评估辐射诱发脑癌的风险:在 523 次扫描中,460 名患者(88%)的复查结果正常,只有 47 名患者(9%)的检查结果与当前创伤有关。平均有效剂量值为 1.05±0.36 mSv。经计算,辐射诱发脑癌的风险分别为每 10000 名男性和女性中有 0.037 例和 0.030 例新发癌症病例:最终结果表明,接受 CT 扫描的大量外伤患者实际上是健康的。这种肆无忌惮地使用 CT 以及由此造成的过量照射可能会导致癌症发病率急剧上升。现在比以往任何时候都更需要限制不必要的 CT 扫描使用量,并在收集重要诊断数据时尽可能降低对患者的辐射量(ALARA)。
本文章由计算机程序翻译,如有差异,请以英文原文为准。
求助全文
约1分钟内获得全文 求助全文
来源期刊
Journal of Biomedical Physics and Engineering
Journal of Biomedical Physics and Engineering Medicine-Radiology, Nuclear Medicine and Imaging
CiteScore
2.90
自引率
0.00%
发文量
64
审稿时长
10 weeks
期刊介绍: The Journal of Biomedical Physics and Engineering (JBPE) is a bimonthly peer-reviewed English-language journal that publishes high-quality basic sciences and clinical research (experimental or theoretical) broadly concerned with the relationship of physics to medicine and engineering.
×
引用
GB/T 7714-2015
复制
MLA
复制
APA
复制
导出至
BibTeX EndNote RefMan NoteFirst NoteExpress
×
提示
您的信息不完整,为了账户安全,请先补充。
现在去补充
×
提示
您因"违规操作"
具体请查看互助需知
我知道了
×
提示
确定
请完成安全验证×
copy
已复制链接
快去分享给好友吧!
我知道了
右上角分享
点击右上角分享
0
联系我们:info@booksci.cn Book学术提供免费学术资源搜索服务,方便国内外学者检索中英文文献。致力于提供最便捷和优质的服务体验。 Copyright © 2023 布克学术 All rights reserved.
京ICP备2023020795号-1
ghs 京公网安备 11010802042870号
Book学术文献互助
Book学术文献互助群
群 号:604180095
Book学术官方微信