Gilteritinib Monotherapy as a Transplant Bridging Option for a Patient with FLT3-Mutated Acute Promyelocytic Leukemia Who Developed a Second Relapse after All-Trans Retinoic Acid + Chemotherapy, Arsenic Trioxide, and High-Dose Cytarabine Therapy.

IF 0.7 Q4 HEMATOLOGY
Case Reports in Hematology Pub Date : 2023-12-13 eCollection Date: 2023-01-01 DOI:10.1155/2023/8568587
Hirofumi Kobayashi, Hiroki Tsutsumi, Yukiko Misaki, Takashi Maekawa, Naoko Inoshita, Machiko Kawamura, Nobuo Maseki
{"title":"Gilteritinib Monotherapy as a Transplant Bridging Option for a Patient with <i>FLT3</i>-Mutated Acute Promyelocytic Leukemia Who Developed a Second Relapse after All-Trans Retinoic Acid + Chemotherapy, Arsenic Trioxide, and High-Dose Cytarabine Therapy.","authors":"Hirofumi Kobayashi, Hiroki Tsutsumi, Yukiko Misaki, Takashi Maekawa, Naoko Inoshita, Machiko Kawamura, Nobuo Maseki","doi":"10.1155/2023/8568587","DOIUrl":null,"url":null,"abstract":"<p><p>We report a case of FLT3-mutated APL who developed disease relapse despite all-trans retinoic acid (ATRA) + chemotherapy, and re-induction chemotherapy with arsenic trioxide (ATO) and high-dose (HD) cytarabine (Ara-C) therapy failed to yield complete remission. Because the leukemic cells were resistant to all the aforementioned therapies, we started the patient on monotherapy with gilteritinib, a selective FLT3-inhibitor, as an alternative re-induction treatment option rather than further intensive chemotherapy. The patient showed complete hematologic remission in response to this therapy. This case serves as supporting evidence for the use of single-agent therapy with gilteritinib as a bridge to transplantation in patients with refractory <i>FLT3</i>-mutated APL.</p>","PeriodicalId":46307,"journal":{"name":"Case Reports in Hematology","volume":"2023 ","pages":"8568587"},"PeriodicalIF":0.7000,"publicationDate":"2023-12-13","publicationTypes":"Journal Article","fieldsOfStudy":null,"isOpenAccess":false,"openAccessPdf":"https://www.ncbi.nlm.nih.gov/pmc/articles/PMC10732830/pdf/","citationCount":"0","resultStr":null,"platform":"Semanticscholar","paperid":null,"PeriodicalName":"Case Reports in Hematology","FirstCategoryId":"1085","ListUrlMain":"https://doi.org/10.1155/2023/8568587","RegionNum":0,"RegionCategory":null,"ArticlePicture":[],"TitleCN":null,"AbstractTextCN":null,"PMCID":null,"EPubDate":"2023/1/1 0:00:00","PubModel":"eCollection","JCR":"Q4","JCRName":"HEMATOLOGY","Score":null,"Total":0}
引用次数: 0

Abstract

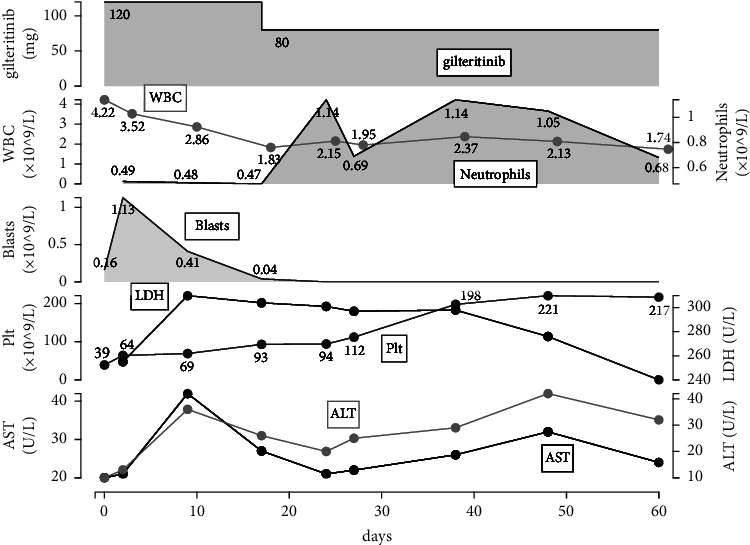
We report a case of FLT3-mutated APL who developed disease relapse despite all-trans retinoic acid (ATRA) + chemotherapy, and re-induction chemotherapy with arsenic trioxide (ATO) and high-dose (HD) cytarabine (Ara-C) therapy failed to yield complete remission. Because the leukemic cells were resistant to all the aforementioned therapies, we started the patient on monotherapy with gilteritinib, a selective FLT3-inhibitor, as an alternative re-induction treatment option rather than further intensive chemotherapy. The patient showed complete hematologic remission in response to this therapy. This case serves as supporting evidence for the use of single-agent therapy with gilteritinib as a bridge to transplantation in patients with refractory FLT3-mutated APL.

Abstract Image

吉利替尼单药疗法作为FLT3突变急性早幼粒细胞白血病患者的移植过渡方案,该患者在接受全反式维甲酸+化疗、三氧化二砷和大剂量阿糖胞苷治疗后再次复发。
我们报告了一例FLT3突变的APL患者,该患者在接受全反式维甲酸(ATRA)+化疗后病情复发,使用三氧化二砷(ATO)和高剂量(HD)阿糖胞苷(Ara-C)进行再诱导化疗也未能获得完全缓解。由于白血病细胞对上述所有疗法均产生耐药性,我们开始对患者使用吉特替尼(一种选择性FLT3抑制剂)进行单药治疗,作为替代强化化疗的再诱导治疗方案。患者在接受这种治疗后,血液学症状得到完全缓解。该病例为吉特替尼单药治疗作为难治性FLT3突变APL患者移植的桥梁提供了佐证。
本文章由计算机程序翻译,如有差异,请以英文原文为准。
求助全文
约1分钟内获得全文 求助全文
来源期刊
自引率
0.00%
发文量
51
审稿时长
13 weeks
×
引用
GB/T 7714-2015
复制
MLA
复制
APA
复制
导出至
BibTeX EndNote RefMan NoteFirst NoteExpress
×
提示
您的信息不完整,为了账户安全,请先补充。
现在去补充
×
提示
您因"违规操作"
具体请查看互助需知
我知道了
×
提示
确定
请完成安全验证×
copy
已复制链接
快去分享给好友吧!
我知道了
右上角分享
点击右上角分享
0
联系我们:info@booksci.cn Book学术提供免费学术资源搜索服务,方便国内外学者检索中英文文献。致力于提供最便捷和优质的服务体验。 Copyright © 2023 布克学术 All rights reserved.
京ICP备2023020795号-1
ghs 京公网安备 11010802042870号
Book学术文献互助
Book学术文献互助群
群 号:604180095
Book学术官方微信