Resistance analysis following sotrovimab treatment in participants with COVID-19 during the phase III COMET-ICE study.

IF 1.4 4区 医学 Q3 VIROLOGY
Future Virology Pub Date : 2023-11-01 Epub Date: 2023-12-07 DOI:10.2217/fvl-2023-0146
Sambhavi Subramanian, Gretja Schnell, Julia di Iulio, Anil K Gupta, Adrienne E Shapiro, Elias H Sarkis, Amanda Lopuski, Amanda Peppercorn, Melissa Aldinger, Christy M Hebner, Andrea L Cathcart
{"title":"Resistance analysis following sotrovimab treatment in participants with COVID-19 during the phase III COMET-ICE study.","authors":"Sambhavi Subramanian, Gretja Schnell, Julia di Iulio, Anil K Gupta, Adrienne E Shapiro, Elias H Sarkis, Amanda Lopuski, Amanda Peppercorn, Melissa Aldinger, Christy M Hebner, Andrea L Cathcart","doi":"10.2217/fvl-2023-0146","DOIUrl":null,"url":null,"abstract":"<p><p><b>Aim:</b> Sotrovimab is an engineered human monoclonal antibody that binds a conserved region of the SARS-CoV-2 spike protein. The COMET-ICE phase III study evaluated sotrovimab for treatment of mild to moderate COVID-19 in nonhospitalized participants with ≥1 risk factor for severe disease progression. <b>Materials & methods:</b> We evaluated the presence of circulating SARS-CoV-2 variants of concern or interest (VOCs/VOIs) and characterized the presence of baseline, post-baseline and emergent amino acid substitutions detected in the epitope of sotrovimab in SARS-CoV-2. <b>Results:</b> None of the sotrovimab-treated participants with baseline epitope substitutions, and 1 of 48 sotrovimab-treated participants with post-baseline epitope substitutions, met the primary clinical endpoint for progression. <b>Conclusion:</b> Overall, progression was not associated with identified VOC/VOI or the presence of epitope substitutions in sotrovimab-treated participants.</p>","PeriodicalId":12505,"journal":{"name":"Future Virology","volume":" ","pages":""},"PeriodicalIF":1.4000,"publicationDate":"2023-11-01","publicationTypes":"Journal Article","fieldsOfStudy":null,"isOpenAccess":false,"openAccessPdf":"https://www.ncbi.nlm.nih.gov/pmc/articles/PMC10705769/pdf/","citationCount":"0","resultStr":null,"platform":"Semanticscholar","paperid":null,"PeriodicalName":"Future Virology","FirstCategoryId":"3","ListUrlMain":"https://doi.org/10.2217/fvl-2023-0146","RegionNum":4,"RegionCategory":"医学","ArticlePicture":[],"TitleCN":null,"AbstractTextCN":null,"PMCID":null,"EPubDate":"2023/12/7 0:00:00","PubModel":"Epub","JCR":"Q3","JCRName":"VIROLOGY","Score":null,"Total":0}
引用次数: 0

Abstract

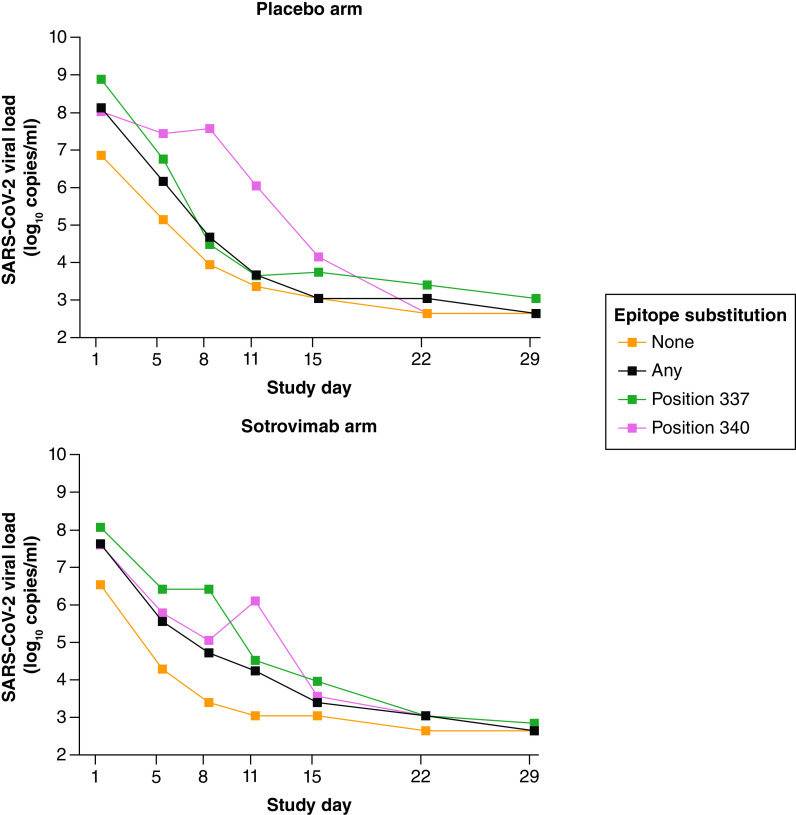
Aim: Sotrovimab is an engineered human monoclonal antibody that binds a conserved region of the SARS-CoV-2 spike protein. The COMET-ICE phase III study evaluated sotrovimab for treatment of mild to moderate COVID-19 in nonhospitalized participants with ≥1 risk factor for severe disease progression. Materials & methods: We evaluated the presence of circulating SARS-CoV-2 variants of concern or interest (VOCs/VOIs) and characterized the presence of baseline, post-baseline and emergent amino acid substitutions detected in the epitope of sotrovimab in SARS-CoV-2. Results: None of the sotrovimab-treated participants with baseline epitope substitutions, and 1 of 48 sotrovimab-treated participants with post-baseline epitope substitutions, met the primary clinical endpoint for progression. Conclusion: Overall, progression was not associated with identified VOC/VOI or the presence of epitope substitutions in sotrovimab-treated participants.

Abstract Image

Abstract Image

Abstract Image

COVID-19 参与者在 COMET-ICE III 期研究中接受索托维单抗治疗后的耐药性分析。
目的:索特罗维单抗是一种经过改造的人类单克隆抗体,能与 SARS-CoV-2 棘蛋白的保守区结合。COMET-ICE III 期研究评估了索特罗维奇单抗治疗轻度至中度 COVID-19 的疗效,该药适用于疾病进展风险因素≥1 个的非住院患者。材料与方法:我们评估了是否存在值得关注或感兴趣的SARS-CoV-2循环变异体(VOCs/VOIs),并描述了在SARS-CoV-2索托维单抗表位中检测到的基线、基线后和突发氨基酸替代的存在情况。结果在接受索特罗维奇单抗治疗的患者中,没有人出现基线表位替代,在接受索特罗维奇单抗治疗的 48 名患者中,有 1 人出现基线后表位替代,达到了主要临床终点--病情进展。结论总体而言,索托维单抗治疗参与者的病情进展与VOC/VOI的确定或表位替代的存在无关。
本文章由计算机程序翻译,如有差异,请以英文原文为准。
求助全文
约1分钟内获得全文 求助全文
来源期刊
Future Virology
Future Virology 医学-病毒学
CiteScore
4.00
自引率
3.20%
发文量
84
审稿时长
6-12 weeks
期刊介绍: Future Virology is a peer-reviewed journal that delivers essential information in concise, at-a-glance article formats. Key advances in the field are reported and analyzed by international experts, providing an authoritative but accessible forum for this ever-expanding area of research. It is an interdisciplinary forum for all scientists working in the field today.
×
引用
GB/T 7714-2015
复制
MLA
复制
APA
复制
导出至
BibTeX EndNote RefMan NoteFirst NoteExpress
×
提示
您的信息不完整,为了账户安全,请先补充。
现在去补充
×
提示
您因"违规操作"
具体请查看互助需知
我知道了
×
提示
确定
请完成安全验证×
copy
已复制链接
快去分享给好友吧!
我知道了
右上角分享
点击右上角分享
0
联系我们:info@booksci.cn Book学术提供免费学术资源搜索服务,方便国内外学者检索中英文文献。致力于提供最便捷和优质的服务体验。 Copyright © 2023 布克学术 All rights reserved.
京ICP备2023020795号-1
ghs 京公网安备 11010802042870号
Book学术文献互助
Book学术文献互助群
群 号:604180095
Book学术官方微信