Clinical and Genotype Characteristics and Symptom Migration in Patients With Mixed Phenotype Transthyretin Amyloidosis from the Transthyretin Amyloidosis Outcomes Survey.

IF 2.7 Q2 CARDIAC & CARDIOVASCULAR SYSTEMS
Cardiology and Therapy Pub Date : 2024-03-01 Epub Date: 2023-12-20 DOI:10.1007/s40119-023-00344-3
Juan González-Moreno, Angela Dispenzieri, Martha Grogan, Teresa Coelho, Ivailo Tournev, Márcia Waddington-Cruz, Jonas Wixner, Igor Diemberger, Pablo Garcia-Pavia, Doug Chapman, Pritam Gupta, Oliver Glass, Leslie Amass
{"title":"Clinical and Genotype Characteristics and Symptom Migration in Patients With Mixed Phenotype Transthyretin Amyloidosis from the Transthyretin Amyloidosis Outcomes Survey.","authors":"Juan González-Moreno, Angela Dispenzieri, Martha Grogan, Teresa Coelho, Ivailo Tournev, Márcia Waddington-Cruz, Jonas Wixner, Igor Diemberger, Pablo Garcia-Pavia, Doug Chapman, Pritam Gupta, Oliver Glass, Leslie Amass","doi":"10.1007/s40119-023-00344-3","DOIUrl":null,"url":null,"abstract":"<p><strong>Introduction: </strong>Transthyretin amyloidosis (ATTR amyloidosis) is primarily associated with a cardiac or neurologic phenotype, but a mixed phenotype is increasingly described.</p><p><strong>Methods: </strong>This study describes the mixed phenotype cohort in the Transthyretin Amyloidosis Outcomes Survey (THAOS). THAOS is an ongoing, longitudinal, observational survey of patients with ATTR amyloidosis, including both hereditary (ATTRv) and wild-type disease, and asymptomatic carriers of pathogenic transthyretin variants. Baseline characteristics of patients with a mixed phenotype (at enrollment or reclassified during follow-up) are described (data cutoff: January 4, 2022).</p><p><strong>Results: </strong>Approximately one-third of symptomatic patients (n = 1185/3542; 33.5%) were classified at enrollment or follow-up as mixed phenotype (median age, 66.5 years). Of those, 344 (29.0%) were reclassified to mixed phenotype within a median 1-2 years of follow-up. Most patients with mixed phenotype had ATTRv amyloidosis (75.7%). The most frequent genotypes were V30M (38.9%) and wild type (24.3%).</p><p><strong>Conclusions: </strong>These THAOS data represent the largest analysis of a real-world mixed phenotype ATTR amyloidosis population to date and suggest that a mixed phenotype may be more prevalent than previously thought. Patients may also migrate from a primarily neurologic or cardiologic presentation to a mixed phenotype over time. These data reinforce the need for multidisciplinary evaluation at initial assessment and follow-up of all patients with ATTR amyloidosis.</p><p><strong>Trial registration: </strong>ClinicalTrials.gov: NCT00628745.</p>","PeriodicalId":9561,"journal":{"name":"Cardiology and Therapy","volume":" ","pages":"117-135"},"PeriodicalIF":2.7000,"publicationDate":"2024-03-01","publicationTypes":"Journal Article","fieldsOfStudy":null,"isOpenAccess":false,"openAccessPdf":"https://www.ncbi.nlm.nih.gov/pmc/articles/PMC10899146/pdf/","citationCount":"0","resultStr":null,"platform":"Semanticscholar","paperid":null,"PeriodicalName":"Cardiology and Therapy","FirstCategoryId":"1085","ListUrlMain":"https://doi.org/10.1007/s40119-023-00344-3","RegionNum":0,"RegionCategory":null,"ArticlePicture":[],"TitleCN":null,"AbstractTextCN":null,"PMCID":null,"EPubDate":"2023/12/20 0:00:00","PubModel":"Epub","JCR":"Q2","JCRName":"CARDIAC & CARDIOVASCULAR SYSTEMS","Score":null,"Total":0}
引用次数: 0

Abstract

Introduction: Transthyretin amyloidosis (ATTR amyloidosis) is primarily associated with a cardiac or neurologic phenotype, but a mixed phenotype is increasingly described.

Methods: This study describes the mixed phenotype cohort in the Transthyretin Amyloidosis Outcomes Survey (THAOS). THAOS is an ongoing, longitudinal, observational survey of patients with ATTR amyloidosis, including both hereditary (ATTRv) and wild-type disease, and asymptomatic carriers of pathogenic transthyretin variants. Baseline characteristics of patients with a mixed phenotype (at enrollment or reclassified during follow-up) are described (data cutoff: January 4, 2022).

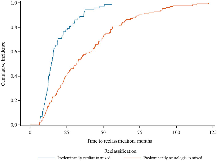
Results: Approximately one-third of symptomatic patients (n = 1185/3542; 33.5%) were classified at enrollment or follow-up as mixed phenotype (median age, 66.5 years). Of those, 344 (29.0%) were reclassified to mixed phenotype within a median 1-2 years of follow-up. Most patients with mixed phenotype had ATTRv amyloidosis (75.7%). The most frequent genotypes were V30M (38.9%) and wild type (24.3%).

Conclusions: These THAOS data represent the largest analysis of a real-world mixed phenotype ATTR amyloidosis population to date and suggest that a mixed phenotype may be more prevalent than previously thought. Patients may also migrate from a primarily neurologic or cardiologic presentation to a mixed phenotype over time. These data reinforce the need for multidisciplinary evaluation at initial assessment and follow-up of all patients with ATTR amyloidosis.

Trial registration: ClinicalTrials.gov: NCT00628745.

Abstract Image

Abstract Image

Abstract Image

转甲状腺素淀粉样变性结果调查中混合表型转甲状腺素淀粉样变性患者的临床和基因型特征及症状迁移。
简介:转甲状腺素淀粉样变性(ATTR amyloidosis)主要与心脏或神经系统表型相关,但混合表型的描述也越来越多:转甲状腺素淀粉样变性(ATTR amyloidosis,ATTR淀粉样变性)主要与心脏或神经系统表型相关,但混合表型的描述也越来越多:本研究描述了转甲状腺素淀粉样变性结果调查(THAOS)中的混合表型队列。THAOS是一项针对ATTR淀粉样变性患者(包括遗传性(ATTRv)和野生型疾病)以及无症状的致病性转甲状腺素变体携带者的持续性纵向观察调查。报告描述了混合表型患者(入组时或随访期间重新分类)的基线特征(数据截止日期:2022 年 1 月 4 日):约三分之一的无症状患者(n = 1185/3542; 33.5%)在入组或随访时被归类为混合表型(中位年龄为 66.5 岁)。其中,344 人(29.0%)在中位 1-2 年的随访中被重新分类为混合表型。大多数混合表型患者患有 ATTRv 淀粉样变性(75.7%)。最常见的基因型为V30M(38.9%)和野生型(24.3%):这些THAOS数据代表了迄今为止对真实世界混合表型ATTR淀粉样变性人群进行的最大规模分析,并表明混合表型可能比以前认为的更为普遍。随着时间的推移,患者也可能从主要表现为神经或心脏疾病转为混合表型。这些数据强化了在对所有ATTR淀粉样变性患者进行初步评估和随访时进行多学科评估的必要性:试验注册:ClinicalTrials.gov:试验注册:ClinicalTrials.gov:NCT00628745。
本文章由计算机程序翻译,如有差异,请以英文原文为准。
求助全文
约1分钟内获得全文 求助全文
来源期刊
Cardiology and Therapy
Cardiology and Therapy CARDIAC & CARDIOVASCULAR SYSTEMS-
CiteScore
5.30
自引率
0.00%
发文量
38
审稿时长
6 weeks
期刊介绍: Aims and Scope Cardiology and Therapy is an international, open access, peer reviewed (single-blind), rapid-publication journal dedicated to the publication of high-quality clinical (all phases), observational, real-world, and health outcomes research around the discovery, development, and use of cardiovascular therapies and interventions, including devices. Studies relating to diagnosis and diagnostics, pharmacoeconomics, public health, quality of life, as well as patient care, management and education are also encouraged. Areas of focus include, but are not limited to, ischaemic heart disease and acute cardiac care, myocardial, valvular, pericardial and congenital heart disease, vascular and pulmonary disease (including hypertension), arrhythmias, heart failure, non-invasive diagnostic techniques, and invasive and interventional cardiology as well as cardiovascular surgery. The journal is of interest to a broad audience of pharmaceutical and healthcare professionals and publishes original research, reviews, case reports/case series, trial protocols and short communications such as commentaries and editorials. Cardiolology and Therapy will consider all scientifically sound research be it positive, confirmatory or negative data. Submissions are welcomed whether they relate to an international and/or a country-specific audience, something that is crucially important when researchers are trying to target more specific patient populations. This inclusive approach allows the journal to assist in the dissemination of quality research, which may be considered of insufficient interest by other journals. Rapid Publication The journal’s publication timelines aim for a rapid peer review of 2 weeks. If an article is accepted it will be published 3–4 weeks from acceptance. The rapid timelines are achieved through the combination of a dedicated in-house editorial team, who manage article workflow, and an extensive Editorial and Advisory Board who assist with peer review. This allows the journal to support the rapid dissemination of research, whilst still providing robust peer review. Combined with the journal’s open access model this allows for the rapid, efficient communication of the latest research and reviews, fostering the advancement of cardiovascular therapies. Personal Service The journal’s dedicated in-house editorial team offer a personal “concierge service” meaning authors will always have an editorial contact able to update them on the status of their manuscript. The editorial team check all manuscripts to ensure that articles conform to the most recent COPE, GPP and ICMJE publishing guidelines. This supports the publication of ethically sound and transparent research. Digital Features and Plain Language Summaries Cardiology and Therapy offers a range of additional features designed to increase the visibility, readership and educational value of the journal’s content. Each article is accompanied by key summary points, giving a time-efficient overview of the content to a wide readership. Articles may be accompanied by plain language summaries to assist readers who have some knowledge of, but not in-depth expertise in, the area to understand the scientific content and overall implications of the article. The journal also provides the option to include various types of digital features including animated abstracts, video abstracts, slide decks, audio slides, instructional videos, infographics, podcasts and animations. All additional features are peer reviewed to the same high standard as the article itself. If you consider that your paper would benefit from the inclusion of a digital feature, please let us know. Our editorial team are able to create high-quality slide decks and infographics in-house, and video abstracts through our partner Research Square, and would be happy to assist in any way we can. For further information about digital features, please contact the journal editor (see ‘Contact the Journal’ for email address), and see the ‘Guidelines for digital features and plain language summaries’ document under ‘Submission guidelines’. For examples of digital features please visit our showcase page https://springerhealthcare.com/expertise/publishing-digital-features/ Publication Fees Upon acceptance of your article for publication, authors will be required to pay the mandatory Rapid Service Fee of £3650/€4500/$5100. The journal will consider fee discounts for developing countries and this is decided on a case by case basis. Open Access All articles published by Cardiology and Therapy are published open access. Peer Review Process Upon submission, manuscripts are assessed by the editorial team to ensure they fit within the aims and scope of the journal and are also checked for plagiarism. All suitable submissions are then subject to a comprehensive single-blind peer review. Reviewers are selected based on their relevant expertise and publication history in the subject area. The journal has an extensive pool of editorial and advisory board members who have been selected to assist with peer review based on the afore-mentioned criteria. At least two extensive reviews are required to make the editorial decision, with the exception of some article types such as Commentaries, Editorials and Letters which are generally reviewed by one member of the Editorial Board. Where reviewer recommendations are conflicted, the editorial board will be contacted for further advice and a presiding decision. Manuscripts are then either accepted, rejected or authors are required to make major or minor revisions (both reviewer comments and editorial comments may need to be addressed). Once a revised manuscript is re-submitted, it is assessed along with the responses to reviewer comments and if it has been adequately revised it will be accepted for publication. Accepted manuscripts are then copyedited and typeset by the production team before online publication. Appeals against decisions following peer review are considered on a case by case basis and should be sent to the journal editor. Preprints We encourage posting of preprints of primary research manuscripts on preprint servers, authors’ or institutional websites, and open communications between researchers whether on community preprint servers or preprint commenting platforms. Posting of preprints is not considered prior publication and will not jeopardize consideration in our journals. Authors should disclose details of preprint posting during the submission process or at any other point during consideration in one of our journals. Once the preprint is published, it is the author’s responsibility to ensure that the preprint record is updated with a publication reference, including the DOI and a URL link to the published version of the article on the journal website. Copyright Cardiology and Therapy is published under the Creative Commons Attribution-Noncommercial License, which allows users to read, copy, distribute, and make derivative works for non-commercial purposes from the material, as long as the author of the original work is cited. The author assigns the exclusive right to any commercial use of the article to Springer. For more information about the Creative Commons Attribution-Noncommercial License, click here: http://creativecommons.org/licenses/by-nc/4.0. Contact For more information about the journal, including pre-submission enquiries, please contact matthew.evans@springer.com
×
引用
GB/T 7714-2015
复制
MLA
复制
APA
复制
导出至
BibTeX EndNote RefMan NoteFirst NoteExpress
×
提示
您的信息不完整,为了账户安全,请先补充。
现在去补充
×
提示
您因"违规操作"
具体请查看互助需知
我知道了
×
提示
确定
请完成安全验证×
copy
已复制链接
快去分享给好友吧!
我知道了
右上角分享
点击右上角分享
0
联系我们:info@booksci.cn Book学术提供免费学术资源搜索服务,方便国内外学者检索中英文文献。致力于提供最便捷和优质的服务体验。 Copyright © 2023 布克学术 All rights reserved.
京ICP备2023020795号-1
ghs 京公网安备 11010802042870号
Book学术文献互助
Book学术文献互助群
群 号:604180095
Book学术官方微信