Prognostic Value of Electroneuronography in Severe Cases of Facial Palsy.

IF 2.9 Q1 REHABILITATION
Annals of Rehabilitation Medicine-ARM Pub Date : 2023-12-01 Epub Date: 2023-11-22 DOI:10.5535/arm.23082
Minwoo Woo, Doyoung Yuk, Seo Won Choi, Jongmin Lee, Hyun Haeng Lee
{"title":"Prognostic Value of Electroneuronography in Severe Cases of Facial Palsy.","authors":"Minwoo Woo, Doyoung Yuk, Seo Won Choi, Jongmin Lee, Hyun Haeng Lee","doi":"10.5535/arm.23082","DOIUrl":null,"url":null,"abstract":"<p><strong>Objective: </strong>To examine the prognostic value of electroneuronography (ENoG) in predicting functional recovery in severe cases of acute facial palsy.</p><p><strong>Methods: </strong>Patients with severe degrees of facial palsy (initial House-Brackmann [HB] grades IV to VI) with available electrodiagnostic studies conducted 2-4 weeks after symptom onset were reviewed retrospectively. The patients were categorized into \"good recovery\" and \"poor recovery\" groups, with the former showing mild to no dysfunction (HB I to III) and the latter exhibiting moderate to severe dysfunction (HB IV to VI) on follow-up evaluation, 2 months after onset. ENoG amplitudes in four facial muscles (frontalis, nasalis, orbicularis oculi, and orbicularis oris), as well as age, sex, affected side, disease etiology, comorbidities, and laboratory findings, were compared between the two groups.</p><p><strong>Results: </strong>Thirty-seven patients were included. Twenty-nine of the patients showed \"good recovery,\" and eight showed \"poor recovery\" at 2 months after symptom onset. Univariate analysis yielded no significant difference in age, sex, affected side, disease etiology, comorbidities, and laboratory findings between the two groups. Preserved ENoG amplitudes (individual, average, and trimmed means) were significantly higher in the good recovery group than in the poor recovery group (p<0.005). Sex (p=0.038) and the ENoG of the nasalis muscle, acquired 2-4 weeks from symptom onset (p=0.004), showed significant differences in multivariate regression analysis.</p><p><strong>Conclusion: </strong>This study suggests that the female sex and lower ENoG of the nasalis muscle, acquired 2-4 weeks from symptom onset, have negative prognostic value for the 2-month functional outcome of severe facial palsy cases.</p>","PeriodicalId":47738,"journal":{"name":"Annals of Rehabilitation Medicine-ARM","volume":" ","pages":"511-518"},"PeriodicalIF":2.9000,"publicationDate":"2023-12-01","publicationTypes":"Journal Article","fieldsOfStudy":null,"isOpenAccess":false,"openAccessPdf":"https://www.ncbi.nlm.nih.gov/pmc/articles/PMC10767212/pdf/","citationCount":"0","resultStr":null,"platform":"Semanticscholar","paperid":null,"PeriodicalName":"Annals of Rehabilitation Medicine-ARM","FirstCategoryId":"1085","ListUrlMain":"https://doi.org/10.5535/arm.23082","RegionNum":0,"RegionCategory":null,"ArticlePicture":[],"TitleCN":null,"AbstractTextCN":null,"PMCID":null,"EPubDate":"2023/11/22 0:00:00","PubModel":"Epub","JCR":"Q1","JCRName":"REHABILITATION","Score":null,"Total":0}
引用次数: 0

Abstract

Objective: To examine the prognostic value of electroneuronography (ENoG) in predicting functional recovery in severe cases of acute facial palsy.

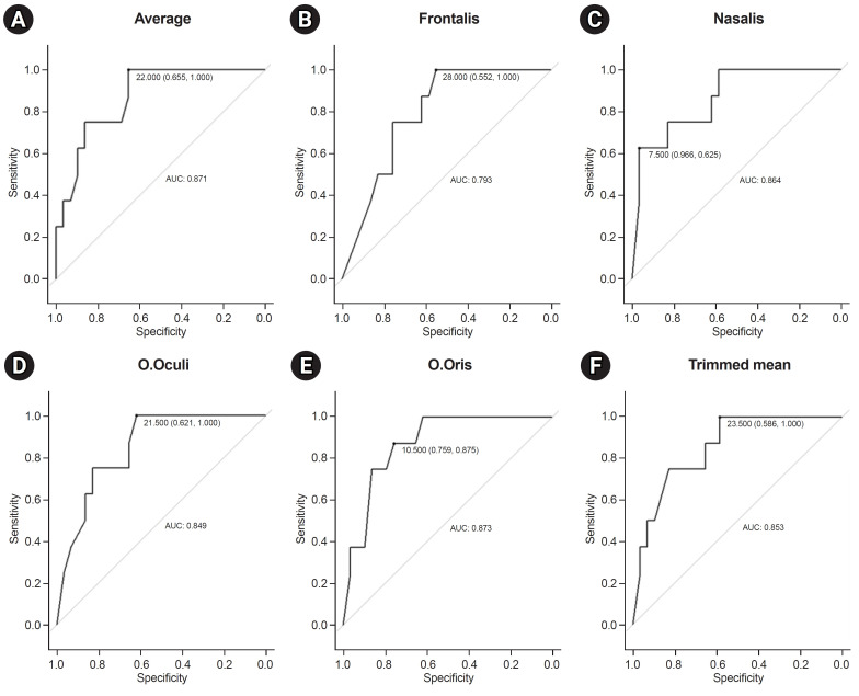
Methods: Patients with severe degrees of facial palsy (initial House-Brackmann [HB] grades IV to VI) with available electrodiagnostic studies conducted 2-4 weeks after symptom onset were reviewed retrospectively. The patients were categorized into "good recovery" and "poor recovery" groups, with the former showing mild to no dysfunction (HB I to III) and the latter exhibiting moderate to severe dysfunction (HB IV to VI) on follow-up evaluation, 2 months after onset. ENoG amplitudes in four facial muscles (frontalis, nasalis, orbicularis oculi, and orbicularis oris), as well as age, sex, affected side, disease etiology, comorbidities, and laboratory findings, were compared between the two groups.

Results: Thirty-seven patients were included. Twenty-nine of the patients showed "good recovery," and eight showed "poor recovery" at 2 months after symptom onset. Univariate analysis yielded no significant difference in age, sex, affected side, disease etiology, comorbidities, and laboratory findings between the two groups. Preserved ENoG amplitudes (individual, average, and trimmed means) were significantly higher in the good recovery group than in the poor recovery group (p<0.005). Sex (p=0.038) and the ENoG of the nasalis muscle, acquired 2-4 weeks from symptom onset (p=0.004), showed significant differences in multivariate regression analysis.

Conclusion: This study suggests that the female sex and lower ENoG of the nasalis muscle, acquired 2-4 weeks from symptom onset, have negative prognostic value for the 2-month functional outcome of severe facial palsy cases.

Abstract Image

Abstract Image

Abstract Image

神经电图对严重面瘫患者的预后价值。
目的:探讨神经电图(ENoG)对急性面瘫重症患者功能恢复的预测价值。方法:回顾性分析在症状出现2-4周后进行电诊断研究的重度面瘫患者(初始House-Brackmann [HB]分级IV至VI)。患者被分为“恢复良好”组和“恢复差”组,前者在发病2个月后的随访评估中表现为轻度至无功能障碍(HB I至III),后者表现为中度至重度功能障碍(HB IV至VI)。比较两组患者面部4块肌肉(额肌、鼻肌、眼轮匝肌和口轮匝肌)的ENoG振幅,以及年龄、性别、受病侧、疾病病因、合并症和实验室结果。结果:纳入37例患者。症状出现2个月后,29例恢复良好,8例恢复不佳。单因素分析显示,两组患者在年龄、性别、受累侧、疾病病因、合并症和实验室检查结果方面无显著差异。恢复良好组保存的ENoG振幅(个体平均值、平均平均值和修剪平均值)显著高于恢复不佳组(p)。结论:本研究提示,女性和鼻肌ENoG较低,在症状出现后2-4周,对重度面瘫患者2个月的功能结局有负面预后价值。
本文章由计算机程序翻译,如有差异,请以英文原文为准。
求助全文
约1分钟内获得全文 求助全文
来源期刊
CiteScore
2.50
自引率
7.70%
发文量
32
审稿时长
30 weeks
×
引用
GB/T 7714-2015
复制
MLA
复制
APA
复制
导出至
BibTeX EndNote RefMan NoteFirst NoteExpress
×
提示
您的信息不完整,为了账户安全,请先补充。
现在去补充
×
提示
您因"违规操作"
具体请查看互助需知
我知道了
×
提示
确定
请完成安全验证×
copy
已复制链接
快去分享给好友吧!
我知道了
右上角分享
点击右上角分享
0
联系我们:info@booksci.cn Book学术提供免费学术资源搜索服务,方便国内外学者检索中英文文献。致力于提供最便捷和优质的服务体验。 Copyright © 2023 布克学术 All rights reserved.
京ICP备2023020795号-1
ghs 京公网安备 11010802042870号
Book学术文献互助
Book学术文献互助群
群 号:604180095
Book学术官方微信