Atrial fibrillatory wave amplitude revisited: A predictor of recurrence after catheter ablation independent of the degree of left atrial structural remodeling.

IF 1.9 3区 医学 Q2 CARDIAC & CARDIOVASCULAR SYSTEMS
Shiro Ishihara, Mitsunori Maruyama, Tsuyoshi Nohara, Wataru Shimizu, Kuniya Asai
{"title":"Atrial fibrillatory wave amplitude revisited: A predictor of recurrence after catheter ablation independent of the degree of left atrial structural remodeling.","authors":"Shiro Ishihara, Mitsunori Maruyama, Tsuyoshi Nohara, Wataru Shimizu, Kuniya Asai","doi":"10.5603/CJ.a2022.0120","DOIUrl":null,"url":null,"abstract":"<p><strong>Background: </strong>The fibrillatory wave amplitude (FWA) during atrial fibrillation (AF) is thought to reflect structural atrial remodeling, but it remains unclear what determines the FWA.</p><p><strong>Methods: </strong>114 consecutive patients were prospectively studied who underwent catheter ablation of AF. The mean FWA was computed by automated surface ECG analyses. The extent of the left atrial (LA) voltage-defined atrial fibrosis and conduction properties were estimated by a three-dimensional high-density electroanatomical mapping system. The LA size was evaluated by transthoracic echocardiography. The study patients were divided into 2 groups according to an FWA in lead V1 above the median value of 46 µV (high FWA group, n=57) or below 46 µV (low FWA group, n=57).</p><p><strong>Results: </strong>There were no differences in the age, gender, CHADS2 score, prevalence of paroxysmal AF, medications, ablation strategy, and LA volume index between the two groups. The LA low voltage areas in the low FWA group were not different from those in the high FWA group. The total LA activation time and local LA conduction velocity did not differ between the two groups. During a median follow-up of 710 days, the recurrence rate after ablation was significantly higher in patients with a low FWA than a high FWA (log-rank P=0.02). In a multivariate analysis, non-paroxysmal AF, the LA volume index, and FWA were independent predictors of recurrence after ablation.</p><p><strong>Conclusions: </strong>The FWA was not correlated with the markers of atrial structural remodeling. Nevertheless, the FWA could still provide information for predicting the clinical outcome after AF ablation.</p>","PeriodicalId":9492,"journal":{"name":"Cardiology journal","volume":" ","pages":""},"PeriodicalIF":1.9000,"publicationDate":"2023-01-02","publicationTypes":"Journal Article","fieldsOfStudy":null,"isOpenAccess":false,"openAccessPdf":"https://www.ncbi.nlm.nih.gov/pmc/articles/PMC10713214/pdf/","citationCount":"0","resultStr":null,"platform":"Semanticscholar","paperid":null,"PeriodicalName":"Cardiology journal","FirstCategoryId":"3","ListUrlMain":"https://doi.org/10.5603/CJ.a2022.0120","RegionNum":3,"RegionCategory":"医学","ArticlePicture":[],"TitleCN":null,"AbstractTextCN":null,"PMCID":null,"EPubDate":"","PubModel":"","JCR":"Q2","JCRName":"CARDIAC & CARDIOVASCULAR SYSTEMS","Score":null,"Total":0}
引用次数: 0

Abstract

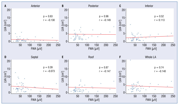
Background: The fibrillatory wave amplitude (FWA) during atrial fibrillation (AF) is thought to reflect structural atrial remodeling, but it remains unclear what determines the FWA.

Methods: 114 consecutive patients were prospectively studied who underwent catheter ablation of AF. The mean FWA was computed by automated surface ECG analyses. The extent of the left atrial (LA) voltage-defined atrial fibrosis and conduction properties were estimated by a three-dimensional high-density electroanatomical mapping system. The LA size was evaluated by transthoracic echocardiography. The study patients were divided into 2 groups according to an FWA in lead V1 above the median value of 46 µV (high FWA group, n=57) or below 46 µV (low FWA group, n=57).

Results: There were no differences in the age, gender, CHADS2 score, prevalence of paroxysmal AF, medications, ablation strategy, and LA volume index between the two groups. The LA low voltage areas in the low FWA group were not different from those in the high FWA group. The total LA activation time and local LA conduction velocity did not differ between the two groups. During a median follow-up of 710 days, the recurrence rate after ablation was significantly higher in patients with a low FWA than a high FWA (log-rank P=0.02). In a multivariate analysis, non-paroxysmal AF, the LA volume index, and FWA were independent predictors of recurrence after ablation.

Conclusions: The FWA was not correlated with the markers of atrial structural remodeling. Nevertheless, the FWA could still provide information for predicting the clinical outcome after AF ablation.

Abstract Image

Abstract Image

Abstract Image

再论心房颤动波振幅:与左心房结构重塑程度无关的导管消融术后复发预测因素。
背景:方法:对接受房颤导管消融术的 114 例连续患者进行了前瞻性研究。通过自动表面心电图分析计算出平均 FWA。左心房(LA)电压定义的心房纤维化程度和传导特性由三维高密度电解剖图系统估算。经胸超声心动图评估了 LA 的大小。根据 V1 导联的 FWA 高于中位值 46 µV(高 FWA 组,n=57)或低于 46 µV(低 FWA 组,n=57)将研究患者分为两组:两组患者的年龄、性别、CHADS2 评分、阵发性房颤患病率、药物、消融策略和 LA 容积指数均无差异。低FWA组的LA低电压区与高FWA组没有差异。两组的LA总激活时间和局部LA传导速度没有差异。在中位随访 710 天期间,低 FWA 患者消融后的复发率明显高于高 FWA 患者(对数秩 P=0.02)。在多变量分析中,非阵发性房颤、LA容积指数和FWA是消融术后复发的独立预测因素:结论:FWA 与心房结构重塑的标志物不相关。结论:FWA 与心房结构重塑的标志物不相关,但 FWA 仍能为预测房颤消融术后的临床结果提供信息。
本文章由计算机程序翻译,如有差异,请以英文原文为准。
求助全文
约1分钟内获得全文 求助全文
来源期刊
Cardiology journal
Cardiology journal CARDIAC & CARDIOVASCULAR SYSTEMS-
CiteScore
5.10
自引率
10.30%
发文量
188
审稿时长
4-8 weeks
期刊介绍: Cardiology Journal is a scientific, peer-reviewed journal covering a broad spectrum of topics in cardiology. The journal has been published since 1994 and over the years it has become an internationally recognized journal of cardiological and medical community. Cardiology Journal is the journal for practicing cardiologists, researchers, and young trainees benefiting from broad spectrum of useful educational content.
×
引用
GB/T 7714-2015
复制
MLA
复制
APA
复制
导出至
BibTeX EndNote RefMan NoteFirst NoteExpress
×
提示
您的信息不完整,为了账户安全,请先补充。
现在去补充
×
提示
您因"违规操作"
具体请查看互助需知
我知道了
×
提示
确定
请完成安全验证×
copy
已复制链接
快去分享给好友吧!
我知道了
右上角分享
点击右上角分享
0
联系我们:info@booksci.cn Book学术提供免费学术资源搜索服务,方便国内外学者检索中英文文献。致力于提供最便捷和优质的服务体验。 Copyright © 2023 布克学术 All rights reserved.
京ICP备2023020795号-1
ghs 京公网安备 11010802042870号
Book学术文献互助
Book学术文献互助群
群 号:604180095
Book学术官方微信