Glycemic Characteristics and Clinical Outcomes in Patients with COVID-19 Admitted to Referral Shahid Sayad Shirazi Hospital in Gorgan, North of Iran.

Q3 Immunology and Microbiology
Interdisciplinary Perspectives on Infectious Diseases Pub Date : 2023-11-06 eCollection Date: 2023-01-01 DOI:10.1155/2023/1374819
Saba Kordrostami, Maryam Zahedi, Abdolhalim Rajabi, Shahab Eskandari-Nejad
{"title":"Glycemic Characteristics and Clinical Outcomes in Patients with COVID-19 Admitted to Referral Shahid Sayad Shirazi Hospital in Gorgan, North of Iran.","authors":"Saba Kordrostami, Maryam Zahedi, Abdolhalim Rajabi, Shahab Eskandari-Nejad","doi":"10.1155/2023/1374819","DOIUrl":null,"url":null,"abstract":"<p><strong>Background: </strong>Diabetes mellitus (DM) is one of the most common chronic diseases, the main manifestation of which is hyperglycemia, and is accompanied by many complications. Since the outbreak of the coronavirus disease 2019 (COVID-19) pandemic, several studies have reported the occurrence of various complications associated with different degrees of hyperglycemia in COVID-19 patients. The aim of the present study was to investigate the glycemic characteristics and clinical outcomes in patients with COVID-19.</p><p><strong>Methods: </strong>In this cross-sectional study, 418 patients with COVID-19 were evaluated in terms of hyperglycemia and its related factors, as well as the relationship between hyperglycemia and the outcome of the disease. Data were statistically analyzed using SPSS software.</p><p><strong>Results: </strong>In the present study, 350 (83.7%) out of 418 hospitalized patients with COVID-19 had hyperglycemia and 193 (55.1%) of the patients with hyperglycemia were women. 169 (48.4%) of patients with hyperglycemia during hospitalization were already diabetic. The mean age was higher in COVID-19 patients with hyperglycemia (<i>P</i> < 0.001), and systolic blood pressure and respiratory rate were also higher in them (<i>P</i> = 0.005 and <i>P</i> = 0.013, respectively). In patients with hyperglycemia, oxygen saturation (SpO<sub>2</sub>) at the time of admission and discharge was lower than other patients (<i>P</i> < 0.001). The frequency of hypertension in the patients with hyperglycemia was significantly higher than in nonhyperglycemic patients (<i>P</i> < 0.001 vs. 0.014). The estimated glomerular filtration rate (eGFR) of hyperglycemic patients was significantly lower than other patients (<i>P</i> < 0.001). Also, there was a significant inverse relationship between eGFR values and fasting (FBS) and random blood sugar (BS) (<i>r</i> = 0.328 and <i>r</i> = 0.310, <i>P</i> < 0.001). On the other hand, there was a direct relationship between FBS and random BS in patients with hyperglycemia with the dose of corticosteroids (<i>r</i> = 0.146 and <i>r</i> = 0.158, <i>P</i> < 0.01). In total, 8.2% of the patients died, although the FBS and random BS and a history of DM were not risk factors for the death of patients (<i>P</i> < 0.05).</p><p><strong>Conclusion: </strong>The findings of our study showed that hyperglycemia is highly prevalent in hospitalized patients with COVID-19. Hyperglycemia in previously nondiabetics appears to be associated with decreased eGFR in COVID-19 patients.</p>","PeriodicalId":39128,"journal":{"name":"Interdisciplinary Perspectives on Infectious Diseases","volume":"2023 ","pages":"1374819"},"PeriodicalIF":0.0000,"publicationDate":"2023-11-06","publicationTypes":"Journal Article","fieldsOfStudy":null,"isOpenAccess":false,"openAccessPdf":"https://www.ncbi.nlm.nih.gov/pmc/articles/PMC10643031/pdf/","citationCount":"0","resultStr":null,"platform":"Semanticscholar","paperid":null,"PeriodicalName":"Interdisciplinary Perspectives on Infectious Diseases","FirstCategoryId":"1085","ListUrlMain":"https://doi.org/10.1155/2023/1374819","RegionNum":0,"RegionCategory":null,"ArticlePicture":[],"TitleCN":null,"AbstractTextCN":null,"PMCID":null,"EPubDate":"2023/1/1 0:00:00","PubModel":"eCollection","JCR":"Q3","JCRName":"Immunology and Microbiology","Score":null,"Total":0}
引用次数: 0

Abstract

Background: Diabetes mellitus (DM) is one of the most common chronic diseases, the main manifestation of which is hyperglycemia, and is accompanied by many complications. Since the outbreak of the coronavirus disease 2019 (COVID-19) pandemic, several studies have reported the occurrence of various complications associated with different degrees of hyperglycemia in COVID-19 patients. The aim of the present study was to investigate the glycemic characteristics and clinical outcomes in patients with COVID-19.

Methods: In this cross-sectional study, 418 patients with COVID-19 were evaluated in terms of hyperglycemia and its related factors, as well as the relationship between hyperglycemia and the outcome of the disease. Data were statistically analyzed using SPSS software.

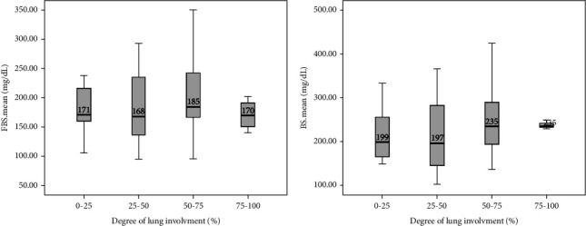
Results: In the present study, 350 (83.7%) out of 418 hospitalized patients with COVID-19 had hyperglycemia and 193 (55.1%) of the patients with hyperglycemia were women. 169 (48.4%) of patients with hyperglycemia during hospitalization were already diabetic. The mean age was higher in COVID-19 patients with hyperglycemia (P < 0.001), and systolic blood pressure and respiratory rate were also higher in them (P = 0.005 and P = 0.013, respectively). In patients with hyperglycemia, oxygen saturation (SpO2) at the time of admission and discharge was lower than other patients (P < 0.001). The frequency of hypertension in the patients with hyperglycemia was significantly higher than in nonhyperglycemic patients (P < 0.001 vs. 0.014). The estimated glomerular filtration rate (eGFR) of hyperglycemic patients was significantly lower than other patients (P < 0.001). Also, there was a significant inverse relationship between eGFR values and fasting (FBS) and random blood sugar (BS) (r = 0.328 and r = 0.310, P < 0.001). On the other hand, there was a direct relationship between FBS and random BS in patients with hyperglycemia with the dose of corticosteroids (r = 0.146 and r = 0.158, P < 0.01). In total, 8.2% of the patients died, although the FBS and random BS and a history of DM were not risk factors for the death of patients (P < 0.05).

Conclusion: The findings of our study showed that hyperglycemia is highly prevalent in hospitalized patients with COVID-19. Hyperglycemia in previously nondiabetics appears to be associated with decreased eGFR in COVID-19 patients.

Abstract Image

Abstract Image

Abstract Image

伊朗北部戈尔根市Shahid Sayad Shirazi医院转诊的COVID-19患者的血糖特征和临床结局
背景:糖尿病(DM)是最常见的慢性疾病之一,其主要表现为高血糖,并伴有许多并发症。自2019冠状病毒病(COVID-19)大流行爆发以来,多项研究报道了COVID-19患者发生不同程度高血糖相关的各种并发症。本研究的目的是探讨COVID-19患者的血糖特征和临床结局。方法:对418例COVID-19患者进行高血糖及其相关因素的评估,以及高血糖与疾病转归的关系。数据采用SPSS软件进行统计分析。结果:418例新冠肺炎住院患者中有350例(83.7%)出现高血糖,其中女性高血糖193例(55.1%)。住院期间高血糖患者中有169例(48.4%)已经是糖尿病患者。新冠肺炎高血糖患者的平均年龄更高(P = 0.005和P = 0.013)。高血糖患者入院和出院时血氧饱和度(SpO2)均低于其他患者(P P P r = 0.328和r = 0.310, P r = 0.146和r = 0.158, P P P P)结论:本研究结果显示,高血糖在新冠肺炎住院患者中高血糖发生率较高。先前非糖尿病患者的高血糖似乎与COVID-19患者eGFR下降有关。
本文章由计算机程序翻译,如有差异,请以英文原文为准。
求助全文
约1分钟内获得全文 求助全文
来源期刊
CiteScore
4.10
自引率
0.00%
发文量
51
审稿时长
18 weeks
×
引用
GB/T 7714-2015
复制
MLA
复制
APA
复制
导出至
BibTeX EndNote RefMan NoteFirst NoteExpress
×
提示
您的信息不完整,为了账户安全,请先补充。
现在去补充
×
提示
您因"违规操作"
具体请查看互助需知
我知道了
×
提示
确定
请完成安全验证×
copy
已复制链接
快去分享给好友吧!
我知道了
右上角分享
点击右上角分享
0
联系我们:info@booksci.cn Book学术提供免费学术资源搜索服务,方便国内外学者检索中英文文献。致力于提供最便捷和优质的服务体验。 Copyright © 2023 布克学术 All rights reserved.
京ICP备2023020795号-1
ghs 京公网安备 11010802042870号
Book学术文献互助
Book学术文献互助群
群 号:604180095
Book学术官方微信