Cytokine Deficiencies in Patients with Long-COVID.

Elizabeth Scp Williams, Thomas B Martins, Kevin S Shah, Harry R Hill, Mayte Coiras, Adam M Spivak, Vicente Planelles
{"title":"Cytokine Deficiencies in Patients with Long-COVID.","authors":"Elizabeth Scp Williams,&nbsp;Thomas B Martins,&nbsp;Kevin S Shah,&nbsp;Harry R Hill,&nbsp;Mayte Coiras,&nbsp;Adam M Spivak,&nbsp;Vicente Planelles","doi":"","DOIUrl":null,"url":null,"abstract":"<p><p>Up to half of individuals who contract SARS-CoV-2 develop symptoms of long-COVID approximately three months after initial infection. These symptoms are highly variable, and the mechanisms inducing them are yet to be understood. We compared plasma cytokine levels from individuals with long-COVID to healthy individuals and found that those with long-COVID had 100% reductions in circulating levels of Interferon Gamma (IFNγ) and Interleukin-8 (IL-8). Additionally, we found significant reductions in levels of IL-6, IL-2, IL-17, IL-13, and IL-4 in individuals with long-COVID. We propose immune exhaustion as the driver of long-COVID, with the complete absence of IFNγ and IL-8preventing the lungs and other organs from healing after acute infection, and reducing the ability to fight off subsequent infections, both contributing to the myriad of symptoms suffered by those with long-COVID.</p>","PeriodicalId":15473,"journal":{"name":"Journal of clinical & cellular immunology","volume":"13 6","pages":""},"PeriodicalIF":0.0000,"publicationDate":"2022-01-01","publicationTypes":"Journal Article","fieldsOfStudy":null,"isOpenAccess":false,"openAccessPdf":"https://www.ncbi.nlm.nih.gov/pmc/articles/PMC9894377/pdf/","citationCount":"0","resultStr":null,"platform":"Semanticscholar","paperid":null,"PeriodicalName":"Journal of clinical & cellular immunology","FirstCategoryId":"1085","ListUrlMain":"","RegionNum":0,"RegionCategory":null,"ArticlePicture":[],"TitleCN":null,"AbstractTextCN":null,"PMCID":null,"EPubDate":"","PubModel":"","JCR":"","JCRName":"","Score":null,"Total":0}
引用次数: 0

Abstract

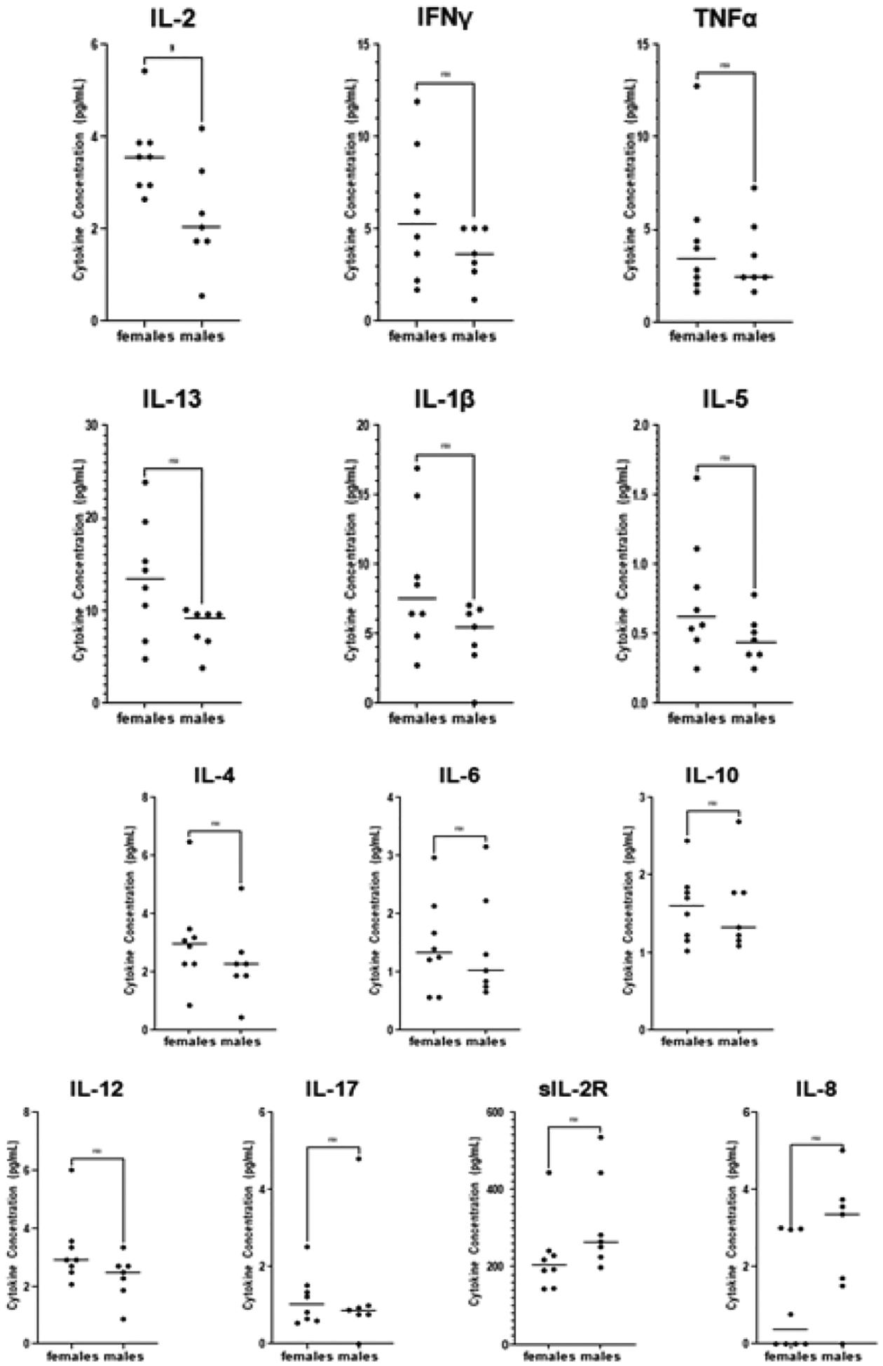
Up to half of individuals who contract SARS-CoV-2 develop symptoms of long-COVID approximately three months after initial infection. These symptoms are highly variable, and the mechanisms inducing them are yet to be understood. We compared plasma cytokine levels from individuals with long-COVID to healthy individuals and found that those with long-COVID had 100% reductions in circulating levels of Interferon Gamma (IFNγ) and Interleukin-8 (IL-8). Additionally, we found significant reductions in levels of IL-6, IL-2, IL-17, IL-13, and IL-4 in individuals with long-COVID. We propose immune exhaustion as the driver of long-COVID, with the complete absence of IFNγ and IL-8preventing the lungs and other organs from healing after acute infection, and reducing the ability to fight off subsequent infections, both contributing to the myriad of symptoms suffered by those with long-COVID.

Abstract Image

Abstract Image

Abstract Image

长冠状病毒感染者的细胞因子缺乏。
多达一半的SARS-CoV-2感染者在初次感染后大约三个月出现长冠状病毒症状。这些症状是高度可变的,诱导它们的机制尚不清楚。我们比较了长covid个体与健康个体的血浆细胞因子水平,发现长covid个体的循环干扰素γ (IFNγ)和白细胞介素8 (IL-8)水平降低100%。此外,我们发现长covid个体的IL-6、IL-2、IL-17、IL-13和IL-4水平显著降低。我们认为免疫衰竭是长期covid的驱动因素,IFNγ和il -8的完全缺乏阻止了急性感染后肺部和其他器官的愈合,并降低了抵抗后续感染的能力,这两者都导致了长期covid患者遭受的无数症状。
本文章由计算机程序翻译,如有差异,请以英文原文为准。
求助全文
约1分钟内获得全文 求助全文
来源期刊
自引率
0.00%
发文量
0
×
引用
GB/T 7714-2015
复制
MLA
复制
APA
复制
导出至
BibTeX EndNote RefMan NoteFirst NoteExpress
×
提示
您的信息不完整,为了账户安全,请先补充。
现在去补充
×
提示
您因"违规操作"
具体请查看互助需知
我知道了
×
提示
确定
请完成安全验证×
copy
已复制链接
快去分享给好友吧!
我知道了
右上角分享
点击右上角分享
0
联系我们:info@booksci.cn Book学术提供免费学术资源搜索服务,方便国内外学者检索中英文文献。致力于提供最便捷和优质的服务体验。 Copyright © 2023 布克学术 All rights reserved.
京ICP备2023020795号-1
ghs 京公网安备 11010802042870号
Book学术文献互助
Book学术文献互助群
群 号:604180095
Book学术官方微信